Java基础08之选择结构详解
选择结构
- 在上一小节中,我们曾经使用过if选择结构来判断用户是否输入了字符串,但是选择结构到底是怎么样的呢?在这一节中我们慢慢来了解。
if单选择结构
-
如下图所示,我们需要去判断一个东西是否可行,然后再去执行:

-
语法:
if (布尔表达式){
//如果布尔表达式为True时将要执行的语句
}
- 举例如下:
import java.util.Scanner;
public class Demo01 {
public static void main(String[] args) {
Scanner scanner = new Scanner(System.in);
System.out.println("请输入内容:");
String s = scanner.nextLine();
// equals是判断字符串是否一致的方法
if (s.equals("hello")){
System.out.println(s);
}
System.out.println("END");
scanner.close();
}
}
if双选择结构
- 如下图所示,当这个条件为True时执行一段语句,当这个条件为False时需要执行另外一段语句:

- 语法:
if (布尔表达式) {
// 如果布尔表达式为True时执行的语句
}else {
// 如果布尔表达式为False时执行的语句
}
- 举例如下:
public class Demo02 {
public static void main(String[] args) {
// 考试分数大于等于60的就输出及格,小于60分输出不及格
Scanner scanner = new Scanner(System.in);
System.out.println("请输入成绩:");
int score = scanner.nextInt();
if (score >= 60){
System.out.println("及格");
} else {
System.out.println("不及格");
}
scanner.close();
}
}
if多选择结构
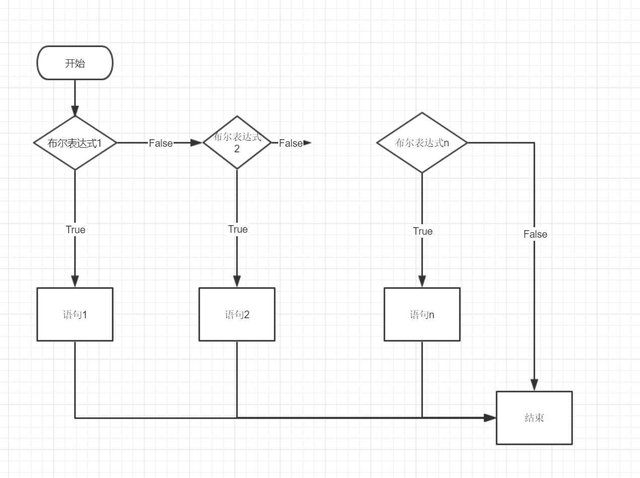
- 以上的选择结构在实际生活中实用性较低,因为很多时候我们的选择不止有两个,而是多个,这个时候就要用到多选择结构来实现了,如下图:

- 语法:
if (布尔表达式1){
// 如果布尔表达式1为True时执行的语句
}else if(布尔表达式2){
// 如果布尔表达式2为True时执行的语句
}else if(布尔表达式3){
// 如果布尔表达式3为True时执行的语句
} else {
// 如果以上布尔表达式都不为True时执行的语句
}
- 举例:
public class Demo03 {
public static void main(String[] args) {
// 考试分数大于等于90的就输出A,80~90输出B,60~80输出C,小于60分输出不及格
Scanner scanner = new Scanner(System.in);
System.out.println("请输入成绩:");
int score = scanner.nextInt();
if (score >= 90){
System.out.println("A");
} else if (score >= 80){
System.out.println("B");
} else if (score >= 60){
System.out.println("C");
} else {
System.out.println("不及格");
}
scanner.close();
}
}
嵌套的if结构
- 可以在一个if里面再使用if语句,如下:
if (布尔表达式1){
// 如果布尔表达式1为true时执行的代码
if (布尔表达式2){
// 在布尔表达式1为true的情况下当布尔表达式为true时执行的代码
}
}
switch多选择结构
- switch case 语句判断一个变量与一系列值中某个值是否相等,每个值成为一个分支
switch(expression){
case value1:
// 当expression与value1相等时执行的语句
break;// 结束本语句块
case value2:
// 当expression与value2相等时执行的语句
break;// 结束本语句块
default:
// 当expression与上述各个value不相等时执行的语句
}
- switch语句中的变量类型可以是byte、short、int、char和string
- 举例如下:
public class Demo01 {
public static void main(String[] args) {
char grade = 'C';
switch (grade){
case 'A':
System.out.println("优秀");
break;
case 'B':
System.out.println("良好");
break;
case 'C':
System.out.println("及格");
break;
case 'D':
System.out.println("挂科");
break;
default:
System.out.println("错误");
}
}
}
如果case中间没有break,会发生case穿透现象
public class Demo01 {
public static void main(String[] args) {
char grade = 'C';
switch (grade){
case 'A':
System.out.println("优秀");
case 'B':
System.out.println("良好");
case 'C':
System.out.println("及格");
case 'D':
System.out.println("挂科");
default:
System.out.println("错误");
}
}
}
即上面的代码都没有加break,则会在输出C的“及格”后继续输出D的“挂科”与default的“错误”,所以在case语句块中一定要加入break

浙公网安备 33010602011771号