二叉树三种深度遍历方法和实现
三种遍历的基本思想
先序遍历:根节点 -> 左子树 -> 右子树
中序遍历:左子树 -> 根节点 -> 右子树
后序遍历:左子树 -> 右子树 -> 根节点
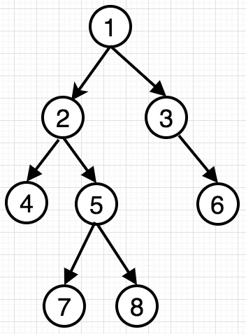
如,以下二叉树遍历:

先序遍历结果:1 2 4 5 7 8 3 6
中序遍历结果:4 2 7 5 8 1 3 6
后序遍历结果:4 7 8 5 2 6 3 1
二叉树基本结构
1 function TreeNode(val) { 2 3 this.val = val; 4 5 this.left = this.right = null; 6 7 }
一、先序遍历
- 递归实现:先处理当前节点,然后递归处理左子节点,最后递归处理右子节点
1 function preVisitRecursive(root) { 2 if(root) { 3 console.log(root.val); //处理当前节点 4 preVisit(root.left); //递归处理左子节点 5 preVisit(root.right); //递归处理右子节点 6 } 7 }
- 非递归实现:使用栈(后进先出)来保存返回需要处理的节点
1 function preVisit(root) { 2 let curNode = root, treeNode = []; 3 while(curNode !== null || treeNode.length > 0) { 4 if(curNode!== null) { 5 console.log(curNode.val); //处理当前节点 6 treeNode.push(curNode); 7 curNode = curNode.left; //指向左子节点做同样处理 8 } else { 9 curNode = treeNode.pop(); //栈顶元素出栈 10 curNode = curNode.right; //指向右子节点 11 } 12 } 13 }
二、中序遍历
- 递归实现:先递归处理左子节点,再处理当前节点,最后递归处理右子节点
1 function midVisitRecursive(root) { 2 if(root) { 3 preVisit(root.left); //递归处理左子节点 4 console.log(root.val); //处理当前节点 5 preVisit(root.right); //递归处理右子节点 6 } 7 }
- 非递归实现:使用栈(后进先出)来保存返回需要处理的节点
1 function midVisit(root) { 2 let curNode = root, treeNode = []; 3 while(curNode !== null || treeNode.length > 0) { 4 if(curNode!== null) { 5 treeNode.push(curNode); 6 curNode = curNode.left; //指向左子节点做同样处理 7 } else { 8 curNode = treeNode.pop(); //栈顶元素出栈 9 console.log(curNode.val); //处理当前节点 10 curNode = curNode.right; //指向右子节点 11 } 12 } 13 }
三、后序遍历
- 递归实现:先递归处理左子节点,然后递归处理右子节点,最后处理当前节点
1 function postVisitRecursive(root) { 2 if(root) { 3 preVisit(root.left); //递归处理左子节点 4 preVisit(root.right); //递归处理右子节点 5 console.log(root.val); //处理当前节点 6 } 7 }
- 非递归实现:需要保证左子节点和右子节点都被访问 且 右子节点在左子节点访问之后 才能访问根节点
1)对于任一结点P,将其入栈,然后沿其左子树一直往下搜索,直到搜索到没有左孩子的结点,此时该结点出现在栈顶,但是此时不能将其出栈并访问,因为其右孩子还未被访问。
所以接下来按照相同的规则对其右子树进行相同的处理,当访问完其右孩子时,该结点又出现在栈顶,此时可以将其出栈并访问。这样就保证了正确的访问顺序。
可以看出,在这个过程中,每个结点都两次出现在栈顶,只有在第二次出现在栈顶时,才能访问它。因此需要多设置一个变量标识该结点是否是第一次出现在栈顶。
1 function postVisit(root) { 2 let curNode = root, treeNode = []; 3 while(curNode !== null || treeNode.length > 0) { 4 { 5 if(curNode !== null) 6 { 7 curNode.isFirst = true; 8 treeNode.push(curNode); //当前节点入栈 9 curNode = curNode.left; //指向left,进行步骤1处理 10 } else { 11 curNode = treeNode.pop(); //指向栈顶元素 12 if(curNode.isFirst) { //表示第一次出栈顶 13 curNode.isFirst = false; 14 treeNode.push(curNode); 15 curNode =curNode.right 16 } else { //第二次出栈顶 17 console.log(curNode.val); 18 curNode = null; //进行步骤2 19 } 20 } 21 } 22 } 23 }
觉得不错的另外的实现

2)要保证左子节点和右子节点都被访问之后才能访问根节点。对于任一节点P,先将其入栈。如果其不存在左子节点和右子节点,可直接访问;亦或其存在左子节点或右子节点,且其左子节点和右子节点已被访问过,则可直接访问该节点;其他情况下,则将其右子节点和左子节点依次入栈,这样保证了出栈时左子节点在右子节点之前被访问,根节点在子节点之后被访问
1 function postVisit(root) { 2 let treeNode = [], 3 curNode, //当前节点 4 pre = null; //上一次访问的节点 5 treeNode.push(root); 6 while(treeNode.length > 0) { 7 curNode = treeNode[treeNode.length - 1]; 8 // 若当前节点没有左子节点和右子节点或者孩子节点均被访问过 9 if((curNode.left === null && curNode.right === null) || (pre && (pre === curNode.left || pre === curNode.right))) { 10 console.log(curNode.val); 11 treeNode.pop(); 12 pre = curNode; 13 } else { 14 if(curNode.right) { 15 treeNode.push(curNode.right); 16 } 17 if(curNode.left) { 18 treeNode.push(curNode.left); 19 } 20 } 21 } 22 }
四、二叉树与数组相结合
从二叉搜索树(BST)中找出是否存在两个节点的和等于某个值k
1 /** 2 * @param {TreeNode} root 3 * @param {number} k 4 * @return {boolean} 5 */ 6 var findTarget = function(root, k) { 7 let treeNode = [], numsArr = [], curNode = root; 8 while(curNode !== null || treeNode.length > 0) { 9 if(curNode !== null) { 10 treeNode.push(curNode); 11 curNode = curNode.left; 12 } else { 13 curNode = treeNode.pop(); 14 numsArr.push(curNode.val); 15 curNode = curNode.right; 16 } 17 } 18 let m = 0, n = numsArr.length - 1, sum = numsArr[m] + numsArr[n]; 19 while(m < n) { 20 if(sum === k) return true; 21 sum < k ? m++ : n--; 22 sum = numsArr[m] + numsArr[n]; 23 } 24 return false 25 };

浙公网安备 33010602011771号