USC提出拟牛顿法深度学习优化器Apollo,效果比肩SGD和Adam
https://mp.weixin.qq.com/s/P24YTLi4hHgR6tNQsKIccA
USC提出拟牛顿法深度学习优化器Apollo,效果比肩SGD和Adam
来源丨https://zhuanlan.zhihu.com/p/401826098编辑丨极市平台
导读
本文介绍了Apollo,一种针对非凸随机优化的拟牛顿方法。它通过对角矩阵逼近Hessian,动态地将损失函数的曲率应用到优化的过程中。Apollo是目前第一个能在实际中应用的深度神经网络的优化算法,并能在多个任务和网络结构上取得比肩甚至超过SGD和Adam的效果。
论文地址
https://arxiv.org/abs/2009.13586
论文源码
https://github.com/XuezheMax/apollo 类型: PyTorch
摘要
本文介绍了Apollo,一种针对非凸随机优化的拟牛顿方法。它通过对角矩阵逼近Hessian,动态地将损失函数的曲率应用到优化的过程中。重要的是,Apollo对于Hessian的对角近似的时间和空间复杂度与自适应一阶优化方法一样。为了处理目标函数的非凸性,我们用Hessian的修正绝对值(recified absolute value)来代替原始的Hessian,保证它是正定的。机器视觉和自然语言处理三项任务上的实验表明,Apollo在收敛速度和泛化性能上都比其它随机优化方法(包括SGD和ADAM的变体)有了显著的改进。
随机非凸优化和拟牛顿法
本文专注于以下形式的随机非凸优化问题:
其中 是模型的参数, 是随机噪音。拟牛顿法的参数更新公式如下:
为步长(stepsize),又叫学习率(learning rate)。 为每一次参数更新时对Hessian矩阵的近似。矩阵 的计算满足经典的 secant equation:
其中 , 。以上公式中不同矩阵模(norm)的选择对应不同的经典算法,例如L-BFGS[1]和DFP[2]。
总结来说,拟牛顿法在深度学习优化问题中存在三个常见问题:
- Time and Memory Efficiency(时空复杂度). 在深度学习的优化问题中,由于模型参数的维度巨大,现有的拟牛顿法无法在实际问题中应用。比如经典的L-BFGS[1]算法一般需要记录至少之前5到10步的迭代历史,这在深度学习问题中是不实际的。而现有的一些为随机非凸问题设计的拟牛顿法,例如SdLBFGS[3],甚至需要比L-BFGS更多的时间和空间资源。
- Stochastic Variance. 优化过程中的随机性使得对于Hessian的近似存在较大的方差, 导致优化算法的不稳定甚至失败。
- Nonconvexity(非凸性). 目标函数的非凸性导致很难在优化过程中保证Hessian的正定性。而目标函数的随机性又使得标准的line search无法有效的应用。
Apollo算法
Time and Memory Efficiency(时空复杂度)。为了降低Apollo算法的时空复杂度,我们仿效之前的工作,用对角矩阵来近似Hessian,亦即约束每一步 为对角矩阵。为了满足这一约束,我们需要对公式(5)中的secant equation进行放松。一个常用的方法是weak secant equation[4,5]:
但是对于参数为度巨大的深度神经网络来说,weak secant equation的约束过于微弱。为了得到一个折中的办法,我们利用神经网络参数的性质,将参数分离成不同的参数模块: 。例如,一个多层神经网络的参数可以分离成每一层不用功能的参数。这样对于每一个参数都会产生一个weak secant equation,增强了约束能力。
经过简单的推到, 的更新公式为:
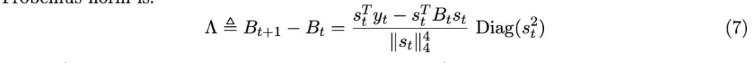
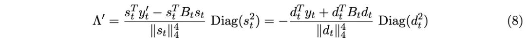
Stochastic Variance. 为了降低优化过程中由于随机噪音导致的不稳定,我们除了应用Adam中的Exponential Moving Average (EMV)之外,还提出了一个重要的方法:Stepsize Bias Correction。简单来说,我们希望矩阵 的更新可以不受步长的影响。具体的做法是对每一步的gradient 进行修正: 。这样公式(7)就演变为:
其中 。对于Stepsize Bias Correction的具体讨论请参考原文。实际应用中,我们发现Stepsize Bias Correction对于Apollo算法的收敛稳定性起到至关重要的作用。
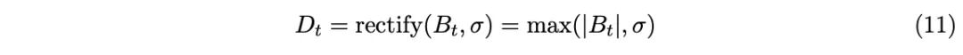
Nonconvexity(非凸性). 非凸性是阻碍拟牛顿法应用到深度学习优化的最主要困难之一。如下图所示,对于一个非凸点的曲率是负的,因此直接应用拟牛顿法会导致参数更新方向错误。
Apollo对于这个问题的解决方案很简单直接,用 的修正绝对值(rectified absolute value)来代替
其中 是一个超参数。现在的问题是我们是否需要增加一个需要调试的超惨 ?幸运的是,我们发现 和 是两个耦合在一起的超参数,而实际中我们可以固定一个而只调试另一个。具体请参考论文中的Theorem 1.
的取值选择。 在最初的版本中,我们设定 。但是我们发现这样使得 的取值会比较大,不太符合大家对学习率(learning rate)的直观印象。因此我们在最新的版本中设定 。具体讨论参考论文。
Apollo算法的收敛性
我们仿效之前的工作,对Apollo在凸函数和非凸函数两种情况下的收敛进行了理论分析。具体请参考论文中的Theorem 2 和 Theorem 3
实验
实验部分,我们做了在三个常见的任务上面对比了Apollo和其他优化算法的效果,包括Image Classification, Language Modeling 以及Neural Machine Translation。涉及的神经网络模型包括ResNet,LSTM和Transformer。每个实验,我们都用5个不同的random seed,并报告实验结果的平均值。具体的实验配置,请阅读论文。
Image Classification
Language Modeling
Neural Machine Translation (WMT-14 English-German)
结语
这篇文章从去年9月开始已经在一年内被多次拒稿,实在让我感慨优化领域的水之深。扪心自问,这篇论文我们算是尽心尽力做到能做的最好,也自认无论从算法还是实验结果都有创新的地方。据我们的有限所知,Apollo是目前第一个能在实际中应用的深度神经网络的优化算法,并能在多个任务和网络结构上取得比肩甚至超过SGD和Adam的效果。然而,仍有审稿人因为各种原因拒稿。其中最多的拒稿原因是Apollo中提出的一些方法,例如stepsize bias correction和rectified absolute value没有明确的理论证明。说一句有些偏激的话,现在深度学习中有哪个实际中有效的方法有严格的理论证明?甚至有一个审稿人的一条意见是,我们的收敛证明是基于Adam,而在他/她看来,Adam的理论证明是达不到发表的标准的。我想说的是,在当下论文井喷的时代,做自己心中觉得真正有用的研究才是一个研究员最该坚持的事。
引用
-
[1] Charles George Broyden. The convergence of a class of double-rank minimization algorithms. IMA Journal of Applied Mathematics, 6(1):76–90, 1970.
-
[2] William C Davidon. Variable metric method for minimization. SIAM Journal on Optimization, 1(1):1–17, 1991.
-
[3] Xiao Wang, Shiqian Ma, Donald Goldfarb, and Wei Liu. Stochastic quasi-newton methods for nonconvex stochastic optimization. SIAM Journal on Optimization, 27(2):927–956, 2017.
-
[4] John E Dennis, Jr and Henry Wolkowicz. Sizing and least-change secant methods. SIAM Journal on Numerical Analysis, 30(5):1291–1314, 1993.
-
[5] JL Nazareth. If quasi-newton then why not quasi-cauchy. SIAG/Opt Views-and-news, 6: 11–14, 1995.
-
[6] Sashank J Reddi, Satyen Kale, and Sanjiv Kumar. On the convergence of adam and beyond. In International Conference on Learning Representations, 2018.
-
[7] X Chen, M Hong, S Liu, and R Sun. On the convergence of a class of adam-type algorithms for non-convex optimization. In 7th International Conference on Learning Representations, ICLR 2019, 2019.
本文亮点总结
1.拟牛顿法在深度学习优化问题中存在三个常见问题:(1)Time and Memory Efficiency(时空复杂度)(2)Stochastic Variance(3)Nonconvexity(非凸性)
2.Apollo对于Hessian的对角近似的时间和空间复杂度与自适应一阶优化方法一样。为了处理目标函数的非凸性,我们用Hessian的修正绝对值(recified absolute value)来代替原始的Hessian,保证它是正定的。

浙公网安备 33010602011771号