探索 YOLO v3 源码 - 第5篇 Loss
YOLO,即You Only Look Once的缩写,是一个基于卷积神经网络的物体检测算法。而YOLO v3是YOLO的第3个版本,即YOLO、YOLO 9000、YOLO v3,检测效果,更准更强。
YOLO v3的更多细节,可以参考YOLO的官网。
YOLO是一句美国的俗语,You Only Live Once,你只能活一次,即人生苦短,及时行乐。
本文主要分享,如何实现YOLO v3的算法细节,Keras框架。这是第5篇,损失函数Loss,精巧地设计,中心点、宽高、框置信度和类别置信度等4个部分的损失值,这是训练过程的最后一篇。当然还有第6篇,至第n篇,毕竟,这是一个完整版 :)。
本文的GitHub源码:https://github.com/SpikeKing
已更新:
第1篇 训练:
https://mp.weixin.qq.com/s/T9LshbXoervdJDBuP564dQ
第2篇 模型:
https://mp.weixin.qq.com/s/N79S9Qf1OgKsQ0VU5QvuHg
第3篇 网络:
https://mp.weixin.qq.com/s/hC4P7iRGv5JSvvPe-ri_8g
第4篇 真值:
https://mp.weixin.qq.com/s/5Sj7QadfVvx-5W9Cr4d3Yw
欢迎关注,微信公众号 深度算法 (ID: DeepAlgorithm) ,了解更多深度技术!
1. 损失层
在模型的训练过程中,不断调整网络中的参数,优化损失函数loss的值达到最小,完成模型的训练。在YOLO v3中,损失函数yolo_loss封装自定义Lambda的损失层中,作为模型的最后一层,参于训练。损失层Lambda的输入是已有模型的输出model_body.output和真值y_true,输出是1个值,即损失值。
损失层的核心逻辑位于yolo_loss中,yolo_loss除了接收Lambda层的输入model_body.output和y_true,还接收锚框anchors、类别数num_classes和过滤阈值ignore_thresh等3个参数。
实现:
model_loss = Lambda(yolo_loss,
output_shape=(1,), name='yolo_loss',
arguments={'anchors': anchors,
'num_classes': num_classes,
'ignore_thresh': 0.5}
)(model_body.output + y_true)
其中,model_body.output是已有模型的预测值,y_true是真实值,两者的格式相同,如下:
model_body: [(?, 13, 13, 18), (?, 26, 26, 18), (?, 52, 52, 18)]
y_true: [(?, 13, 13, 18), (?, 26, 26, 18), (?, 52, 52, 18)]
接着,在yolo_loss方法中,参数是:
-
args是Lambda层的输入,即model_body.output和y_true的组合;
-
anchors是二维数组,结构是(9, 2),即9个anchor box;
-
num_classes是类别数;
-
ignore_thresh是过滤阈值;
-
print_loss是打印损失函数的开关;
即:
def yolo_loss(args, anchors, num_classes, ignore_thresh=.5, print_loss=True):
2. 参数
在损失方法yolo_loss中,设置若干参数:
-
num_layers:层的数量,是anchors数量的3分之1;
-
yolo_outputs和y_true:分离args,前3个是yolo_outputs预测值,后3个是y_true真值;
-
anchor_mask:anchor box的索引数组,3个1组倒序排序,678对应13x13,345对应26x26,123对应52x52;即[[6, 7, 8], [3, 4, 5], [0, 1, 2]];
-
input_shape:K.shape(yolo_outputs[0])[1:3],第1个预测矩阵yolo_outputs[0]的结构(shape)的第1~2位,即(?, 13, 13, 18)中的(13, 13)。再x32,就是YOLO网络的输入尺寸,即(416, 416),因为在网络中,含有5个步长为(2, 2)的卷积操作,降维32=5^2倍;
-
grid_shapes:与input_shape类似,K.shape()[1:3],以列表的形式,选择3个尺寸的预测图维度,即[(13, 13), (26, 26), (52, 52)];
-
m:第1个预测图的结构的第1位,即K.shape()[0],输入模型的图片总量,即批次数;
-
mf:m的float类型,即K.cast(m, K.dtype())
-
loss:损失值为0;
即:
num_layers = len(anchors) // 3 # default setting
yolo_outputs = args[:num_layers]
y_true = args[num_layers:]
anchor_mask = [[6, 7, 8], [3, 4, 5], [0, 1, 2]] if num_layers == 3 else [[3, 4, 5], [1, 2, 3]]
# input_shape是输出的尺寸*32, 就是原始的输入尺寸,[1:3]是尺寸的位置,即416x416
input_shape = K.cast(K.shape(yolo_outputs[0])[1:3] * 32, K.dtype(y_true[0]))
# 每个网格的尺寸,组成列表
grid_shapes = [K.cast(K.shape(yolo_outputs[l])[1:3], K.dtype(y_true[0])) for l in range(num_layers)]
m = K.shape(yolo_outputs[0])[0] # batch size, tensor
mf = K.cast(m, K.dtype(yolo_outputs[0]))
loss = 0
3. 预测数据
在yolo_head中,将预测图yolo_outputs[l],拆分为边界框的起始点xy、宽高wh、置信度confidence和类别概率class_probs。输入参数:
-
yolo_outputs[l]或feats:第l个预测图,如(?, 13, 13, 18);
-
anchors[anchor_mask[l]]或anchors:第l个anchor box,如[(116, 90), (156,198), (373,326)];
-
num_classes:类别数,如1个;
-
input_shape:输入图片的尺寸,Tensor,值为(416, 416);
-
calc_loss:计算loss的开关,在计算损失值时,calc_loss打开,为True;
即:
grid, raw_pred, pred_xy, pred_wh = \
yolo_head(yolo_outputs[l], anchors[anchor_mask[l]], num_classes, input_shape, calc_loss=True)
def yolo_head(feats, anchors, num_classes, input_shape, calc_loss=False):
接着,统计anchors的数量num_anchors,即3个。将anchors转换为与预测图feats维度相同的Tensor,即anchors_tensor的结构是(1, 1, 1, 3, 2),即:
num_anchors = len(anchors)
# Reshape to batch, height, width, num_anchors, box_params.
anchors_tensor = K.reshape(K.constant(anchors), [1, 1, 1, num_anchors, 2])
下一步,创建网格grid:
-
获取网格的尺寸grid_shape,即预测图feats的第1~2位,如13x13;
-
grid_y和grid_x用于生成网格grid,通过arange、reshape、tile的组合,创建y轴的0~12的组合grid_y,再创建x轴的0~12的组合grid_x,将两者拼接concatenate,就是grid;
-
grid是遍历二元数值组合的数值,结构是(13, 13, 1, 2);
即:
grid_shape = K.shape(feats)[1:3]
grid_shape = K.shape(feats)[1:3] # height, width
grid_y = K.tile(K.reshape(K.arange(0, stop=grid_shape[0]), [-1, 1, 1, 1]),
[1, grid_shape[1], 1, 1])
grid_x = K.tile(K.reshape(K.arange(0, stop=grid_shape[1]), [1, -1, 1, 1]),
[grid_shape[0], 1, 1, 1])
grid = K.concatenate([grid_x, grid_y])
grid = K.cast(grid, K.dtype(feats))
下一步,将feats的最后一维展开,将anchors与其他数据(类别数+4个框值+框置信度)分离
feats = K.reshape(
feats, [-1, grid_shape[0], grid_shape[1], num_anchors, num_classes + 5])
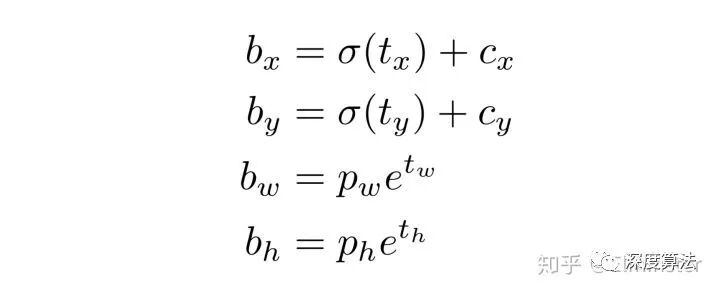
下一步,计算起始点xy、宽高wh、框置信度box_confidence和类别置信度box_class_probs:
-
起始点xy:将feats中xy的值,经过sigmoid归一化,再加上相应的grid的二元组,再除以网格边长,归一化;
-
宽高wh:将feats中wh的值,经过exp正值化,再乘以anchors_tensor的anchor box,再除以图片宽高,归一化;
-
框置信度box_confidence:将feats中confidence值,经过sigmoid归一化;
-
类别置信度box_class_probs:将feats中class_probs值,经过sigmoid归一化;
即:
box_xy = (K.sigmoid(feats[..., :2]) + grid) / K.cast(grid_shape[::-1], K.dtype(feats))
box_wh = K.exp(feats[..., 2:4]) * anchors_tensor / K.cast(input_shape[::-1], K.dtype(feats))
box_confidence = K.sigmoid(feats[..., 4:5])
box_class_probs = K.sigmoid(feats[..., 5:])
其中,xywh的计算公式,tx、ty、tw和th是feats值,而bx、by、bw和bh是输出值,如下:
框的4个值
这4个值box_xy, box_wh, confidence, class_probs的范围均在0~1之间。
由于计算损失值,calc_loss为True,则返回:
-
网格grid:结构是(13, 13, 1, 2),数值为0~12的全遍历二元组;
-
预测值feats:经过reshape变换,将18维数据分离出3维anchors,结构是(?, 13, 13, 3, 6)
-
box_xy和box_wh归一化的起始点xy和宽高wh,xy的结构是(?, 13, 13, 3, 2),wh的结构是(?, 13, 13, 3, 2);box_xy的范围是(0~1),box_wh的范围是(0~1);即bx、by、bw、bh计算完成之后,再进行归一化。
即:
if calc_loss == True:
return grid, feats, box_xy, box_wh
4. 损失函数
在计算损失值时,循环计算每1层的损失值,累加到一起,即
for l in range(num_layers):
// ...
loss += xy_loss + wh_loss + confidence_loss + class_loss
在每个循环体中:
-
获取物体置信度object_mask,最后1个维度的第4位,第0~3位是框,第4位是物体置信度;
-
类别置信度true_class_probs,最后1个维度的第5位;
即:
object_mask = y_true[l][..., 4:5]
true_class_probs = y_true[l][..., 5:]
接着,调用yolo_head重构预测图,输出:
-
网格grid:结构是(13, 13, 1, 2),数值为0~12的全遍历二元组;
-
预测值raw_pred:经过reshape变换,将anchors分离,结构是(?, 13, 13, 3, 6)
-
pred_xy和pred_wh归一化的起始点xy和宽高wh,xy的结构是(?, 13, 13, 3, 2),wh的结构是(?, 13, 13, 3, 2);
再将xy和wh组合成预测框pred_box,结构是(?, 13, 13, 3, 4)。
grid, raw_pred, pred_xy, pred_wh = \
yolo_head(yolo_outputs[l], anchors[anchor_mask[l]],
num_classes, input_shape, calc_loss=True)
pred_box = K.concatenate([pred_xy, pred_wh])
接着,生成真值数据:
-
raw_true_xy:在网格中的中心点xy,偏移数据,值的范围是0~1;y_true的第0和1位是中心点xy的相对位置,范围是0~1;
-
raw_true_wh:在网络中的wh针对于anchors的比例,再转换为log形式,范围是有正有负;y_true的第2和3位是宽高wh的相对位置,范围是0~1;
-
box_loss_scale:计算wh权重,取值范围(1~2);
实现:
# Darknet raw box to calculate loss.
raw_true_xy = y_true[l][..., :2] * grid_shapes[l][::-1] - grid
raw_true_wh = K.log(y_true[l][..., 2:4] / anchors[anchor_mask[l]] * input_shape[::-1]) # 1
raw_true_wh = K.switch(object_mask, raw_true_wh, K.zeros_like(raw_true_wh)) # avoid log(0)=-inf
box_loss_scale = 2 - y_true[l][..., 2:3] * y_true[l][..., 3:4] # 2-w*h
接着,根据IoU忽略阈值生成ignore_mask,将预测框pred_box和真值框true_box计算IoU,抑制不需要的anchor框的值,即IoU小于最大阈值的anchor框。ignore_mask的shape是(?, ?, ?, 3, 1),第0位是批次数,第1~2位是特征图尺寸。
实现:
ignore_mask = tf.TensorArray(K.dtype(y_true[0]), size=1, dynamic_size=True)
object_mask_bool = K.cast(object_mask, 'bool')
def loop_body(b, ignore_mask):
true_box = tf.boolean_mask(y_true[l][b, ..., 0:4], object_mask_bool[b, ..., 0])
iou = box_iou(pred_box[b], true_box)
best_iou = K.max(iou, axis=-1)
ignore_mask = ignore_mask.write(b, K.cast(best_iou < ignore_thresh, K.dtype(true_box)))
return b + 1, ignore_mask
_, ignore_mask = K.control_flow_ops.while_loop(lambda b, *args: b < m, loop_body, [0, ignore_mask])
ignore_mask = ignore_mask.stack()
ignore_mask = K.expand_dims(ignore_mask, -1)
损失函数:
-
xy_loss:中心点的损失值。object_mask是y_true的第4位,即是否含有物体,含有是1,不含是0。box_loss_scale的值,与物体框的大小有关,2减去相对面积,值得范围是(1~2)。binary_crossentropy是二值交叉熵。
-
wh_loss:宽高的损失值。除此之外,额外乘以系数0.5,平方K.square()。
-
confidence_loss:框的损失值。两部分组成,第1部分是存在物体的损失值,第2部分是不存在物体的损失值,其中乘以忽略掩码ignore_mask,忽略预测框中IoU大于阈值的框。
-
class_loss:类别损失值。
-
将各部分损失值的和,除以均值,累加,作为最终的图片损失值。
细节实现:
object_mask = y_true[l][..., 4:5] # 物体掩码
box_loss_scale = 2 - y_true[l][..., 2:3] * y_true[l][..., 3:4] # 框损失比例
z * -log(sigmoid(x)) + (1 - z) * -log(1 - sigmoid(x)) # 二值交叉熵函数
iou = box_iou(pred_box[b], true_box) # 预测框与真正框的IoU
损失函数实现:
xy_loss = object_mask * box_loss_scale * K.binary_crossentropy(raw_true_xy, raw_pred[..., 0:2],
from_logits=True)
wh_loss = object_mask * box_loss_scale * 0.5 * K.square(raw_true_wh - raw_pred[..., 2:4])
confidence_loss = object_mask * K.binary_crossentropy(object_mask, raw_pred[..., 4:5], from_logits=True) + \
(1 - object_mask) * K.binary_crossentropy(object_mask, raw_pred[..., 4:5],
from_logits=True) * ignore_mask
class_loss = object_mask * K.binary_crossentropy(true_class_probs, raw_pred[..., 5:], from_logits=True)
xy_loss = K.sum(xy_loss) / mf
wh_loss = K.sum(wh_loss) / mf
confidence_loss = K.sum(confidence_loss) / mf
class_loss = K.sum(class_loss) / mf
loss += xy_loss + wh_loss + confidence_loss + class_loss
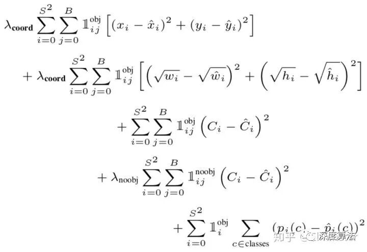
YOLO v1的损失函数公式,与v3略有不同,作为参考:
Loss
补充
1. “...”操作符
在Python中,“...”(ellipsis)操作符,表示其他维度不变,只操作最前或最后1维;
import numpy as np
x = np.array([[1, 2, 3, 4], [5, 6, 7, 8], [9, 10, 11, 12]])
"""[[ 1 2 3 4] [ 5 6 7 8] [ 9 10 11 12]]"""
print(x.shape) # (3, 4)
y = x[1:2, ...]
"""[[5 6 7 8]]"""
print(y)
2. 遍历数值组合
在YOLO v3中,当计算网格值时,需要由相对位置,转换为绝对位置,就是相对值,加上网格的左上角的值,如相对值(0.2, 0.3)在第(1, 1)网格中的绝对值是(1.2, 1.3)。当转换坐标值时,根据坐标点的位置,添加相应的初始值即可。这样,就需要遍历两两的数值组合,如生成0至12的网格矩阵。
通过arange -> reshape -> tile -> concatenate的组合,即可快速完成。
源码:
from keras import backend as K
grid_y = K.tile(K.reshape(K.arange(0, stop=3), [-1, 1, 1]), [1, 3, 1])
grid_x = K.tile(K.reshape(K.arange(0, stop=3), [1, -1, 1]), [3, 1, 1])
sess = K.get_session()
print(grid_x.shape) # (3, 3, 1)
print(grid_y.shape) # (3, 3, 1)
z = K.concatenate([grid_x, grid_y])
print(z.shape) # (3, 3, 2)
print(sess.run(z))
"""创建3x3的二维矩阵,遍历全部数组0~2"""
3. ::-1
“::-1”是颠倒数组的值,例如:
import numpy as np
a = np.array([1, 2, 3, 4, 5])
print a[::-1]
"""[5 4 3 2 1]"""
4. Session
在Keras中,使用Session测试验证数据,实现:
from keras import backend as K
sess = K.get_session()
a = K.constant([2, 4])
b = K.constant([3, 2])
c = K.square(a - b)
print(sess.run(c))
OK, that's all! Enjoy it!
By C. L. Wang @ 美图 视觉技术部

浙公网安备 33010602011771号