组合数学Catalan数
http://www.cppblog.com/MiYu/archive/2010/08/07/122573.html 这个讲的很清楚(catalan数的应用)
(1)定义:
Cn=1/n+1 (2n n)----->组合计数,catalan数是很多组合计数应用问题的数学模型
模型1:Cn=1/(n+1)(2n n)=(2n n)-(2n n+1)=(2n n)-(2n n-1)----->把n个1和n个0排成一行,使这一行的任意前k个数中1的数量总是大于等于0的数量,这样的排列一共有多少个?---->Cn个
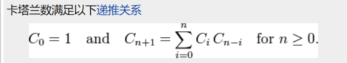
模型2:Cn=C0Cn-1+C1Cn-2+......+Cn-1C0, C0=1
其实,许多看似不相关的问题都和Catalan数有密切关系。
1)n个节点构成的二叉树共有多少种情况---对应模型2。
2)栈的计数:一共n个数通过一个栈,能够产生多少个序列----对应模型1
3)棋盘问题:hdu2067 n行n列的棋盘,从左下角走到右上角,一直在对角线右下方走,不穿过主对角线,共有多少种走法---对应模型1
4)括号问题:用n个左括号和n个右括号组成的括号字符串一共有多少种组合?----对应模型2
5)买票找零问题,三角剖分问题
6)类似的利用Catalan数求解的问题有NOI2001福建组队赛《球迷购票问题》等,类似的递推问题还有NOI2000福建组队赛《车皮排序问题》等
(2)计算
1)Cn=C0Cn-1+C1Cn-2+......+Cn-1C0, C0=1 --->n<=100,一般用于需要输出catalan数的数值 int64
2)Cn=4n-2/n+1 Cn-1 C0=1 --->可以看出以4n的倍数增长
3)Cn=1/n+1 (2n n)=(2n)!/(n+1)/!n!
用公式2、3一般是需要进行取模,都有大整数除法,所以需要转换为逆元,然后再取模
NOIP 2003 普及组试题《栈的计数》
这道题的递归解法,以及推出来的Catalan解法
https://blog.csdn.net/ivy_uu/article/details/72835696
这个的解决方法其实就是这个规律

#include<cstdio>
#define maxn 20
using namespace std;
int n,f[maxn];
int main()
{
int i,j,k;
scanf("%d",&n);
f[0]=f[1]=1;
for(i=2;i<=n;i++)
for(j=0;j<=i-1;j++)
f[i]+=f[j]*f[i-j-1];
printf("%d\n",f[n]);
return 0;
}
介绍了三种算法
算法一:(分治)
我们不妨直接设n辆火车产生的排列总数为f(n)。看看能不能找到一些规律。
如图,n列火车通过栈,起始车头在车列最前端。经过移动后,车头处在了第a+1位,车头前有a辆车,车头后有b辆车(a>=0,b>=0)。则n=a+b+1,b=n-a-1。

若要达到上述移动目的,步骤为:
(1)将车头进栈;
(2)将车头后a辆车依次通过栈,移至轨道另一端;
(3)将车头出栈,则车头恰好排在第a+1位;
(4)将轨道右端剩余b辆车依次通过栈,移至轨道另一端;
不难证明,移动方案仅此一种。问题是每个步骤又有许多种不同的移动方法。显然步骤
(1)(3)各只有一种移动方法。仔细观察步骤(2)(4)。我们前面定义了“n辆火
车依次通过栈产生的排列总数为f(n)”,而步骤(2)恰恰是这个问题的子问题。即步骤
二可写为“将a辆火车依次通过栈”,根据前面定义,其移动方案总数为f(a)。同理,步
骤(4)的移动方法总数为f(b)。
根据乘法原理,要完成上述工作:
总的方法数tot=步骤(1)的方法数步骤(2)的方法数步骤(3)的方法数*步骤(4)的方法数
=1* f(a) * 1* f(b)
=f(a) * f(b)
=f(a) * f(n-a-1) (因为b=n-a-1)
我们目前已求得将n列火车通过栈,且将位于原车列首位的车头经过移动后位于移动后的
车列第a+1位的方法总数, 即f(a)*f(n-a-1)。但是原火车头经过移动后可能处在移动后车
列的任意一个位置,即a的取值是任意的。由于共有n辆车,因此移动后原火车头前面的
车数可能有0~n-1辆,即0≤a≤n-1。
要完成某个特定的移动方法,a只能取某个特定的值。根据加法原理,将n辆火车依次通
过栈的移动总数为:
总的方法数 f(n) = 取a=0的方法数 + 取a=1的方法数 + … + 取a=n-1的方法数 !!!!!!!是累加
= f(0)*f(n-0-1) + f(1)*f(n-1-1) + f(2)*f(n-2-1) + … + f(n-1)*f(n-(n-1)-1)
即f(n)= (n≥1)
边界值:f(0)=1;
有了以上递归公式,不难用递推的方法写出程序。
算法二(dp或者dfs):
前面所说的搜索法虽行不通,但它也许能给我们一些提示。如果用深度优先搜索(DFS),穷举所有可能的移动方法来做的话,当搜索到某个状态下,所能做的移动方法无非有两种:(1)将轨道右方的第一列火车进栈;(2)将栈顶的火车出栈,进入左边的轨道。
设此时轨道右方,栈,轨道左方的火车数分别为a,b,c。我们就能用(a,b,c)表示出当前的状态。显然n=a+b+c,则c=n-a-b。即已知a和b,c就被确定,所以我们可以用(a,b)来作为状态的表示方法。则起始状态为(n,0),目标状态为(0,0)。又由上面的两种移动方法。我们可类似的得到两种状态转移方式:
按a的值从0~n划分阶段,亦可通过递推求得f(n,0)的值,即为所求。如果只保存两个阶段进行递推,还可将空间复杂度降为O(n)。这个算法虽然不如算法一简洁,但对于本题来说已经很不错了。而且它在思维难度上要比算法一容易一些。
算法三:
对于算法一中的数列f(i)来说,每一项都是被唯一确定的。那么我们是否可以找到其通项
公式,从而直接算出f(i)呢?
答案是肯定的。本题实际是一个经典的Catalan数模型。有关Catalan数的详细解释请参
考《组合数学》等书。对于数列f(i)有公式可直接算出:

具体实现时,若直接用上述公式计算,对数字的精度要求较高。可将其化为递归式:

再进行递推计算,并且注意类型的定义要用comp型。
其实,许多看似不相关的问题都和Catalan数有密切关系。例如所有节点数为n的二叉树的个数就恰为上式中的f(n)。因此,Catalan数的应用范围很广。

我总结了一下,最典型的四类应用:(实质上却都一样,无非是递归等式的应用,就看你能不能分解问题写出递归式了)
1.括号化问题。
矩阵链乘: P=a1×a2×a3×……×an,依据乘法结合律,不改变其顺序,只用括号表示成对的乘积,试问有几种括号化的方案?(h(n)种)
2.出栈次序问题。
一个栈(无穷大)的进栈序列为1,2,3,..n,有多少个不同的出栈序列?
类似:
(1)有2n个人排成一行进入剧场。入场费5元。其中只有n个人有一张5元钞票,另外n人只有10元钞票,剧院无其它钞票,问有多少中方法使得只要有10元的人买票,售票处就有5元的钞票找零?(将持5元者到达视作将5元入栈,持10元者到达视作使栈中某5元出栈)
(2)在圆上选择2n个点,将这些点成对连接起来,使得所得到的n条线段不相交的方法数。
3.将多边行划分为三角形问题。
将一个凸多边形区域分成三角形区域的方法数?
类似:一位大城市的律师在她住所以北n个街区和以东n个街区处工作。每天她走2n个街区去上班。如果她
从不穿越(但可以碰到)从家到办公室的对角线,那么有多少条可能的道路?
类似:在圆上选择2n个点,将这些点成对连接起来使得所得到的n条线段不相交的方法数?
4.给顶节点组成二叉树的问题。
给定N个节点,能构成多少种形状不同的二叉树?
(一定是二叉树!
先去一个点作为顶点,然后左边依次可以取0至N-1个相对应的,右边是N-1到0个,两两配对相乘,就是h(0)*h(n-1) + h(2)*h(n-2) +
+ h(n-1)h(0)=h(n))
(能构成h(N)个)
posted on
浙公网安备 33010602011771号