失调电压(二)运放失调的计算/来源
[闲言碎语]集创赛又浪费了一周时间,好在终于是拿下冠军,这也属于是付出这么久应得的了。今天终于有时间更新
#########################################################################################
上篇说了个公式:失调=失配+版图不匹配+电路不匹配。假如我们还处在电路设计阶段,没到版图,此时你设计的运放的失调电压多大呢?可以计算一下。
首先,失调电压在测试端的定义为:将Vin置于0时检测到的输出电压Vout的值。当然跟噪声一样,确定输入参考失调电压更有意义,他被定义为使输出电压为0时的输入电平Vos,in。因此,要算失调电压,我们的目标就是找出使得Vout=0时的Vos,in的值(当然这里说的是差分输出的运放,单端输出的话肯定是输出电压=某个值)
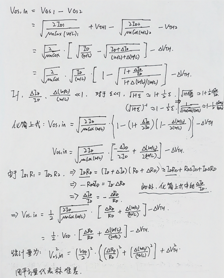
eg1:电阻负载的差分输出差动对的输入失调电压计算

失调=失配+版图不匹配+电路不匹配,现在失调=失配。器件的失配体现在:VTH1=VTH,VTH2=VTH+ delta VTH,(W/L)1=(W/L),(W/L)2=(W/L)+ delta (W/L),R1=RD,R2=RD+ delta R。假设体效应,CLM效应都不存在,假设kn失配也没有。
为了Vout=0,则ID1 R1=ID2 R2,因为R1和R2不想等,所以ID1和ID2绝对不想等,当然VTH和(W/L)失配也说明了这一点。假设ID1=ID,ID2=ID+ delta ID。此时计算Vos,in:
Vos,in=VGS1-VGS2:

这里很重要的一个发现是:(1)电阻和宽长比的失配会被VOD放大到Vos,in,而阈值电压失配直接折算到Vos,in。
因此,为了减小Vos,in,需要减小过驱动电压VOD,也就是增大gm/id,这个问题很早大家就了解,最简单的想法是,为了减小失配要尽量增大输入管子的WL,于是增加(W/L)看起来可以成为一种方案,因为总体的面积确实是增加了,结果就是gm/id增加,VOD减小。两种思路去理解吧。另外一点,VTH的失配和WL也成反比,因此阈值失配也会减小。而且,Vov↓同时gm↑,也是实现更低噪声、更大的增益、更宽的输出摆幅和共模输入范围、更高的CMRR和PSRR所希望的。当然这里也有折中,实际上Vov要与放大器频率特性相互折衷,例如MOS管自身的本征频率fT是与Vov成正比的。(这句话是eetop总结的)
eg2:电流源负载的差分输出差动对的输入失调电压计算

直接看RAZAVI给出的计算结果:

对其分析:N管VOD要取小,W和L可考虑同比扩大,以减小输入管的阈值电压失配及被VOD放大后的宽长比失配;而P管的失配会被gmP/gmN放大,那么减小gmP和减小VOD(增大gmP)看起来是一对矛盾关系?我们可以先确定gmN,再定好gmP与gmN的比例去倒推。
下次复习电流镜的失配。

浙公网安备 33010602011771号