人工智能必备数学知识02
8. 数据科学的几种分布
出发点
如果我的数据有足够多的可利用的信息,那么我可以直接做我喜欢的事了,
但是现在如果没有那么多的信息,我可不可以在数学上进行一些投机呢?
低维(比如我只知道一个人的年龄,性别,那我能对她多了解吗?)
高维(比如我知道他从出生开始,做过哪些事,赚过哪些钱等)
如果我们对数据更好的了解(是机器去了解他们,我们不需要认识啦)
得到的结果不也会更好嘛。
9. 核函数变换
出发点
如果我的数据有足够多的可利用的信息,那么我可以直接做我喜欢的事了,但是现在如果没有那么多的信息,我可不可以在数学上进行一些投机呢?
低维(比如我只知道一个人的年龄,性别,那我能对她多了解吗?)
高维(比如我知道他从出生开始,做过哪些事,赚过哪些钱等)
如果我们对数据更好的了解(是机器去了解他们,我们不需要认识啦)得到的结果不也会更好嘛。
二维 ----> 三维

线性核函数
Linear核函数对数据不做任何变换。K(xi, Xj) = xiT Xj
何时来使用呢?特征已经比较丰富了,样本数据量巨大,需要进行实时得出结果的问题。
不需要设置任何参数,直接就可以用了。
多项式核函数

核函数

高斯核函数



看起来不错,但是它对参数是极其敏感的,效果差异也是很大的!

决策边界会怎么样呢?(σ越小,切分的越厉害,越容易过拟合)

10. 熵与激活函数
熵
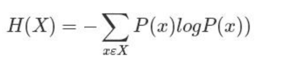
什么是熵?
物体内部的混乱程度。(一件事发生的不确定性)
所有的概率值都是0-1之间,那么最终的H(X)必然也是一个正数啦!

熵值大小意味着什么呢?
杂货市场 VS 苹果专卖店

信息熵
熵是如何应用在分类任务中呢?
想象一个分类任务,我们希望得到的结果是什么样呢?
- A[1,1,1,1,1,1,1,1,1,1]
- B[1,2,3,4,5,2,3,4,5,1]
显然A集合才是我们希望得到的结果,它在熵值熵的表现呢?
激活函数
激活函数性质
非线性:让模型表现能力更强
单调性,可微性,输出值范围是有限的
常见的激活函数:Sigmoid Tanh Relu 等

Sigmoid函数
Sigmoid 是常用的非线性的激活函数
能够把连续值压缩到0-1区间上
缺点:杀死梯度,非原点中心对称

Sigmoid函数
输出值全为整数会导致梯度全为正或者全为负
优化更新会产生阶梯式情况

Tanh函数
原点中心对称
输出在-1到1之间
梯度消失现象依然存在

Relu函数
公式简单实用
解决了梯度消失现象,计算速度更快


Leaky ReLU
解决了Relu会杀死一部分神经元的情况

11. 回归分析
12. 假设检验
13. 相关分析
14. 方差分析
15. 聚类分析
16. 贝叶斯分析

浙公网安备 33010602011771号