数据结构——树的深搜算法
树的深度优先搜索(DFS)算法
一些概念
图的遍历
从图中某一顶点出发访遍图中其余顶点,且使每一个顶点有且仅被访问一次。
图的遍历的意义
是求解图的连通性问题、拓扑排序和求关键路径等算法的基础。
图的遍历通常有两种方法,即深度优先搜索和广度优先搜索
下面介绍深度优先搜索(DFS Depth_First Search)
事先准备:
因为图的遍历要求每个顶点有且只被访问一次,所以就需要一个辅助数组visited[](可用bool类型或其他类型)来代表该顶点是否被访问过。
算法流程:
邻接矩阵存储方式
①将所有点设置为未被访问状态;
②用下标v,按顶点向量数组的顺序访问每个未被访问的点;
③对于邻接矩阵,将下标为v的元素设置为已访问,并输出该点信息(这里用输出代表访问),遍历下标第v行的邻接矩阵元素,遇到非零并且未被访问过的下标w时,跳转到第w行;
④重复执行第③步。
邻接表存储方式
①将所有点设置为未被访问状态;
②用下标v,按顶点向量表的顺序访问每个未被访问的点;
③对于邻接表的表结点,将下标为v的元素设置为已访问,并输出该点信息(这里用输出代表访问),遍历下标第v个元素所在的邻接表的表结点,遇到未被访问过的结点时,跳转到该结点所在行w;
④重复执行第③步。
邻接矩阵存储方式C语言实现
void DFS(MGraph G, int v, bool visited[])//深度搜索
{
visited[v] = true;//将点v设置为已访问
cout<<G.vexs[v];
for(int w = 0; w < G.vexnum; w++)
{
if((G.arcs[v][w] == 1) && !visited[w])
DFS(G, w, visited);
}
}
void DFSTravrese(MGraph G, bool visited[])
{
for(int i = 0 ; i < G.vexnum; i++)//初始化访问数组信息
visited[i] = false;
for(int v = 0; v < G.vexnum; v++)
{
if(!visited[v])
DFS(G, v, visited);
}
}
邻接表存储方式C语言实现
void DFS(ALGraph G, bool visited[], int v)
{
visited[v] = true;
cout<<setw(5)<<G.vertices[v].data;
ArcNode *p;
for(p = G.vertices[v].firstarc; p; p = p->nextarc)
{
if(!visited[p->adjvex])
DFS(G, visited, p->adjvex);
}
}
void DFSTraverse(ALGraph G, bool visited[])
{
for(int i = 0 ; i < G.vexnum; i++)
visited[i] = false;
for(int i = 0; i < G.vexnum; i++)
{
if(!visited[i])
{
cout<<endl;
DFS(G, visited, i);
}
}
}
例子分析
连通图

邻接矩阵表达法运行结果如下:
图的顶点数和边数: 8 9
图的顶点信息:
1 2 3 4 5 6 7 8
图的邻接矩阵:
0 1 1 0 0 0 0 0
1 0 0 1 1 0 0 0
1 0 0 0 0 1 1 0
0 1 0 0 0 0 0 1
0 1 0 0 0 0 0 1
0 0 1 0 0 0 1 0
0 0 1 0 0 1 0 0
0 0 0 1 1 0 0 0
该图的出度信息:
2 3 3 2 2 2 2 2
该图的入度信息:
2 3 3 2 2 2 2 2
深度搜索结果如下:
1 2 4 8 5 3 6 7
分析如下:
在DFSTravrese函数中v=0,即 1 未被访问,进入DFS函数,visited[0]变为true,打印 1 ;

在邻接矩阵中,与 1 邻接点为 2 ,进入第二行,进入DFS函数,visited[1]变为true,打印 2;


在第二行中, 1 已被访问过,下一次循环, 4 未被访问,进入第四行,进入DFS函数,visited[3]变为true,打印 4;


在第四行中,2 已被访问,下一次循环, 8 未被访问,进入第八行,进入DFS函数,visited[7]变为true,打印 8;


在第八行中, 4 已被访问,下一次循环, 5 未被访问,进入第五行,进入DFS函数,visited[4]变为true,打印 5;


在第五行中, 2 和 8 已被访问,返回第八行;


在第八行中,没有未被访问的点,返回第四行;


在第四行中,没有未被访问的点,返回第二行;


在第二行中,没有未被访问的点,返回第一行;


在第一行中, 3 未被访问,进入第三行,进入DFS函数,visited[2]变为true,打印 3;


在第三行中, 6 未被访问,进入第六行,进入DFS函数,visited[5]变为true,打印 6;


在第六行中, 7 未被访问,进入第七行,进入DFS函数,visited[6]变为true,打印 7;


在第七行中,没有未被访问的点,返回第六行;


在第六行中,没有未被访问的点,返回第三行;


在第三行中,没有未被访问的点,返回第一行;


在第一行中,没有未被访问的点,返回DFSTravrese函数;

v>0的点中已没有未被访问的点,深搜结束。
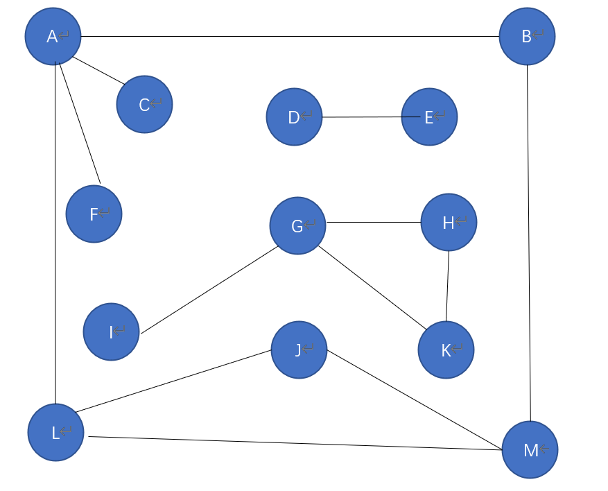
非连通图

邻接表表达法运行结果如下:
图的顶点数和边数: 13 13
图的顶点信息:
A B C D E F G H I J K L M
图的邻接表:
A的邻接点:L F C B
B的邻接点:M A
C的邻接点:A
D的邻接点:E
E的邻接点:D
F的邻接点:A
G的邻接点:K H I
H的邻接点:K G
I的邻接点:G
J的邻接点:M L
K的邻接点:H G
L的邻接点:J M A
M的邻接点:J L B
该图的出入度情况如下:
入度信息:
4 2 1 1 1 1 3 2 1 2 2 3 3
出度信息:
4 2 1 1 1 1 3 2 1 2 2 3 3
深度搜索结果如下:
A L J M B F C
D E
G K H I
分析如下:
在DFSTravrese函数中v=0,即A未被访问,进入DFS函数,visited[0]变为true,打印 A;

在邻接表中,在A的表结点中,与A邻接的未被访问的第一个点是L,进入DFS函数,visited[11]变为true,打印 L;


在邻接表中,在L的表结点中,与L邻接的未被访问的第一个点是J,进入DFS函数,visited[9]变为true,打印 J;


在邻接表中,在J的表结点中,与J邻接的未被访问的第一个点是M,进入DFS函数,visited[12]变为true,打印 M;


在邻接表中,在M的表结点中,与M邻接的未被访问的第一个点是B,进入DFS函数,visited[1]变为true,打印 B;


在邻接表中,在B的表结点中,都被访问了,返回M结点;


在邻接表中,在M的表结点中,都被访问了,返回J结点;


在邻接表中,在J的表结点中,都被访问了,返回L结点;


在邻接表中,在L的表结点中,都被访问了,返回A结点;


在邻接表中,在A的表结点中,与A邻接的未被访问的第一个点是F,进入DFS函数,visited[6]变为true,打印 F;


在邻接表中,在F的表结点中,都被访问了,返回A结点;


在邻接表中,在A的表结点中,与A邻接的未被访问的第一个点是C,进入DFS函数,visited[2]变为true,打印 C;


在邻接表中,在C的表结点中,都被访问了,返回A结点;


从A开始没有未被访问的点,返回DFSTravrese函数的for循环,从D开始访问;


在邻接表中,在D的表结点中,与D邻接的未被访问的第一个点是E,进入DFS函数,visited[5]变为true,打印 E;


在邻接表中,在E的表结点中,都被访问了,返回D结点;


从D开始没有未被访问的点,返回DFSTravrese函数的for循环,从G开始访问;

在邻接表中,在G的表结点中,与G邻接的未被访问的第一个点是K,进入DFS函数,visited[10]变为true,打印 K;


在邻接表中,在K的表结点中,与K邻接的未被访问的第一个点是H,进入DFS函数,visited[7]变为true,打印 H;


在邻接表中,在H的表结点中,都被访问了,返回K结点;


在邻接表中,在K的表结点中,都被访问了,返回G结点;


在邻接表中,在G的表结点中,与G邻接的未被访问的第一个点是I,进入DFS函数,visited[8]变为true,打印 I;


在邻接表中,在I的表结点中,都被访问了,返回G结点;


从G开始没有未被访问的点,返回DFSTravrese函数的for循环;

v>0的点中已没有未被访问的点,深搜结束。
(全文仅代表个人理解)

浙公网安备 33010602011771号