【笔记】用伽马函数证明标准正态分布EX4的值为3
2020-11-13
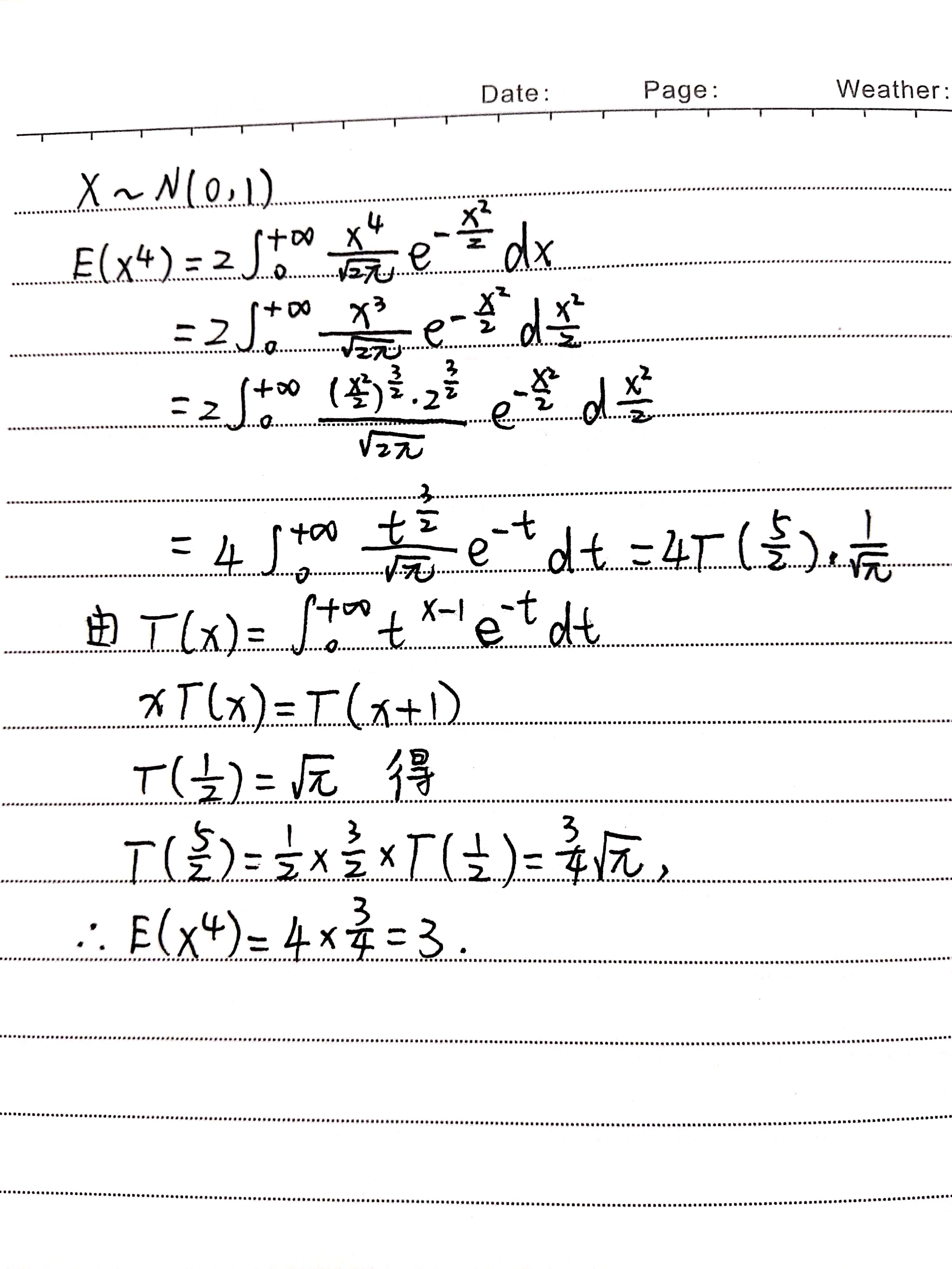
看了博客标准正态分布的E(X^4)积分求解的极坐标变换证明方法,已经叹服不已,然后看了底下老哥的评论,用伽马函数可以口算出来,遂去查了一下,真香!发篇博客记录一下。

现在的问题,变成了伽马函数是怎么证明的。awsl,数学家们都是天才系列。
2022-04-23更新
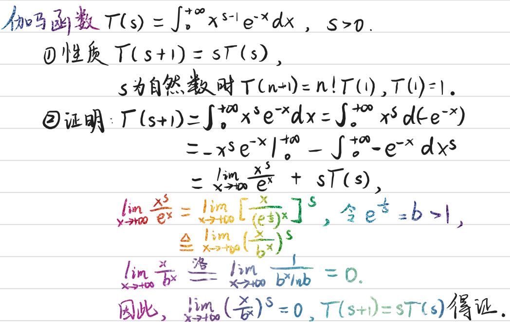
伽马函数定义及其证明:

看了博客标准正态分布的E(X^4)积分求解的极坐标变换证明方法,已经叹服不已,然后看了底下老哥的评论,用伽马函数可以口算出来,遂去查了一下,真香!发篇博客记录一下。

现在的问题,变成了伽马函数是怎么证明的。awsl,数学家们都是天才系列。
伽马函数定义及其证明:
