JavaWeb-Servlet
一、Servlet
1.1、Servlet简介
-
Servlet就是 sun公司开发动态 web的一门技术
-
Sun在这些 API中提供一个接口叫做:Servlet;如果你想开发一个 Servlet程序,只需要完成两个小步骤:
- 编写一个类,实现 Servlet接口
- 把开发好的 Java类部署到 Web服务器中。
-
总结:
- 把实现了 Servlet接口的 Java程序叫做,Servlet
1.2、HelloServlet
Servlet接口 Sun公司有两个默认的实现类:HttpServlet,GenericServlet
-
构建一个普通的 Maven项目,删掉里面的 src目录,以后我们的学习就在这个项目里面建立 Moudel;这个空的工程就是 Maven主工程;
- 去 Maven官方仓库搜索
Java Servlet API和jsp-api导入 Maven当中
- 去 Maven官方仓库搜索
-
关于 Maven父子工程的理解:
- 父项目中会有:
<modules> <module>servlet-01</module> </modules>- 父项目中的 java子项目可以直接使用
son extends father -
Maven环境优化
- 修改 web.xml为最新的
- 把 Tomcat服务器中 ROOT项目中的 web.xml内容复制到当前项目中的 web.xml中
- 路径
apache-tomcat-9.0.41\webapps\ROOT\WEB-INF
- 将 Maven的结构搭建完整

- 修改 web.xml为最新的
-
编写一个 Servlet程序
-
编写一个普通类
-
实现 Servlet接口,这里我们直接继承 HttpServlet
import javax.servlet.ServletException; import javax.servlet.ServletOutputStream; // HttpServlet包路径 import javax.servlet.http.HttpServlet; import javax.servlet.http.HttpServletRequest; import javax.servlet.http.HttpServletResponse; import java.io.IOException; import java.io.PrintWriter; // 实现 Servlet接口,这里我们直接继承 HttpServlet public class HelloServlet extends HttpServlet { // 由于 get或者 post只是请求实现的不同的方式,可以相互调用,业务逻辑都一样; @Override protected void doGet(HttpServletRequest req, HttpServletResponse resp) throws ServletException, IOException { // ServletOutputStream outputStream = resp.getOutputStream(); PrintWriter writer = resp.getWriter(); // 响应流 writer.print("Hello,Servlet"); } @Override protected void doPost(HttpServletRequest req, HttpServletResponse resp) throws ServletException, IOException { super.doPost(req, resp); } }
-
-
编写 Serlvet的映射
为什么需要映射:我们写的是 Java程序,但是要通过浏览器访问,而浏览器需要连接 Web服务器,所以我们需要再 Web服务中注册我们写的 Servlet,还需给他一个浏览器能够访问的路径;web.xml 文件中的 web-app标签中加入 <!--注册Servlet--> <servlet> <servlet-name>hello</servlet-name> <!--映射名--> <servlet-class>com.kuang.servlet.HelloServlet</servlet-class> <!-- Java代码路径--> </servlet> <!--Servlet的请求路径--> <servlet-mapping> <servlet-name>hello</servlet-name> <url-pattern>/hello</url-pattern> <!--浏览器访问路径--> </servlet-mapping> -
配置 Tomcat
注意:配置项目发布的路径就可以了 -
启动测试
1.3、Servlet原理
Servlet是由 Web服务器调用,Web服务器在收到浏览器请求之后,会:

1.4、Mapping问题
-
一个 Servlet可以指定一个映射路径
<servlet-mapping> <servlet-name>hello</servlet-name> <url-pattern>/hello</url-pattern> </servlet-mapping> -
一个 Servlet可以指定多个映射路径
<servlet-mapping> <servlet-name>hello</servlet-name> <url-pattern>/hello1</url-pattern> </servlet-mapping> <servlet-mapping> <servlet-name>hello</servlet-name> <url-pattern>/hello2</url-pattern> </servlet-mapping> <servlet-mapping> <servlet-name>hello</servlet-name> <url-pattern>/hello3</url-pattern> </servlet-mapping> -
一个 Servlet可以指定通用映射路径
<servlet-mapping> <servlet-name>hello</servlet-name> <url-pattern>/hello/*</url-pattern> </servlet-mapping> -
默认请求路径
<servlet-mapping> <servlet-name>hello</servlet-name> <url-pattern>/*</url-pattern> </servlet-mapping> -
指定一些后缀或者前缀等等...
<!-- 可以自定义后缀实现请求映射 注意点:* 前面不能加项目映射的路径 --> <servlet-mapping> <servlet-name>hello</servlet-name> <url-pattern>*.qinjiang</url-pattern> </servlet-mapping> -
优先级问题
指定了固有的映射路径优先级最高,如果找不到就会走默认的处理请求;<!--404页面--> <servlet> <servlet-name>error</servlet-name> <servlet-class>com.kuang.servlet.ErrorServlet</servlet-class> </servlet> <servlet-mapping> <servlet-name>error</servlet-name> <url-pattern>/*</url-pattern> </servlet-mapping>
1.5、ServletContext
Web容器在启动的时候,它会为每个 web程序都创建一个对应的 ServletContext对象,它代表了当前的 web应用;
1、共享数据
我在这个 Servlet中保存的数据,可以在另外一个 Servlet中拿到;
- 放置数据的类
public class HelloServlet extends HttpServlet {
@Override
protected void doGet(HttpServletRequest req, HttpServletResponse resp) throws ServletException, IOException {
//this.getInitParameter() 初始化参数
//this.getServletConfig() Servlet配置
//this.getServletContext() Servlet上下文
ServletContext context = this.getServletContext();
String username = "秦疆"; // 数据
context.setAttribute("username",username); // 将一个数据保存在了 ServletContext中,名字为:username。值:username
}
}
- 读取它的类
public class GetServlet extends HttpServlet {
@Override
protected void doGet(HttpServletRequest req, HttpServletResponse resp) throws ServletException, IOException {
ServletContext context = this.getServletContext();
String username = (String) context.getAttribute("username");
// 解决乱码问题
resp.setContentType("text/html");
resp.setCharacterEncoding("utf-8");
resp.getWriter().print("名字"+username);
}
@Override
protected void doPost(HttpServletRequest req, HttpServletResponse resp) throws ServletException, IOException {
super.doPost(req, resp);
}
}
- 配置 web.xml
<!-- 上面两个类的映射 -->
<servlet>
<servlet-name>hello</servlet-name>
<servlet-class>com.kuang.servlet.HelloServlet</servlet-class>
</servlet>
<servlet-mapping>
<servlet-name>hello</servlet-name>
<url-pattern>/hello</url-pattern>
</servlet-mapping>
<servlet>
<servlet-name>getc</servlet-name>
<servlet-class>com.kuang.servlet.GetServlet</servlet-class>
</servlet>
<servlet-mapping>
<servlet-name>getc</servlet-name>
<url-pattern>/getc</url-pattern>
</servlet-mapping>
2、获取初始化参数
- web.xml
<!--配置一些 web应用初始化参数-->
<context-param>
<param-name>url</param-name>
<param-value>jdbc:mysql://localhost:3306/mybatis</param-value>
</context-param>
<!-- 在服务器中映射 java程序 -->
<servlet>
<servlet-name>gp</servlet-name>
<servlet-class>com.kuang.servlet.ServletDemo03</servlet-class>
</servlet>
<servlet-mapping>
<servlet-name>gp</servlet-name>
<url-pattern>/gp</url-pattern>
</servlet-mapping>
- java
public class ServletDemo03 extends HttpServlet {
@Override
protected void doGet(HttpServletRequest req, HttpServletResponse resp) throws ServletException, IOException {
ServletContext context = this.getServletContext();
String url = context.getInitParameter("url");
resp.getWriter().print(url);
}
}
3、请求转发

web.xml
<!--配置一些 web应用初始化参数-->
<context-param>
<param-name>url</param-name>
<param-value>jdbc:mysql://localhost:3306/mybatis</param-value>
</context-param>
<!-- 在服务器中映射 java程序 -->
<servlet>
<servlet-name>sd4</servlet-name>
<servlet-class>com.kuang.servlet.ServletDemo04</servlet-class>
</servlet>
<servlet-mapping>
<servlet-name>sd4</servlet-name>
<url-pattern>/sd4</url-pattern>
</servlet-mapping>
跳转的代码
package com.kuang.servlet;
import javax.servlet.ServletContext;
import javax.servlet.ServletException;
import javax.servlet.http.HttpServlet;
import javax.servlet.http.HttpServletRequest;
import javax.servlet.http.HttpServletResponse;
import java.io.IOException;
public class ServletDemo04 extends HttpServlet {
@Override
protected void doGet(HttpServletRequest req, HttpServletResponse resp) throws ServletException, IOException {
System.out.println("进入了ServletDemo04");
ServletContext context = this.getServletContext();
// 转发的请求路径,getRequestDispatcher(跳转的路径),调用 forward()实现请求转发
context.getRequestDispatcher("/gp").forward(req,resp);
}
}
源数据
package com.kuang.servlet;
import javax.servlet.ServletContext;
import javax.servlet.ServletException;
import javax.servlet.http.HttpServlet;
import javax.servlet.http.HttpServletRequest;
import javax.servlet.http.HttpServletResponse;
import java.io.IOException;
public class ServletDemo03 extends HttpServlet {
@Override
protected void doGet(HttpServletRequest req, HttpServletResponse resp) throws ServletException, IOException {
ServletContext context = this.getServletContext();
String url = context.getInitParameter("url");
resp.getWriter().print(url);
}
}
4、读取资源文件
Properties
- 在 Java目录下新建 properties
- 在 resources目录下新建 properties
发现:都被打包到了同一个路径下:classes,我们俗称这个路径为 classpath;
思路:需要一个文件流;
资源文件(properties)
username=王宇
password=123456
读取资源文件的代码
package com.kuang.servlet;
import javax.servlet.ServletException;
import javax.servlet.http.HttpServlet;
import javax.servlet.http.HttpServletRequest;
import javax.servlet.http.HttpServletResponse;
import java.io.IOException;
import java.io.InputStream;
import java.util.Properties;
public class ServletDemo05 extends HttpServlet {
@Override
protected void doGet(HttpServletRequest req, HttpServletResponse resp) throws ServletException, IOException {
// 通过 getResourceAsStream()把打包后的资源文件变成 流
InputStream is = this.getServletContext().getResourceAsStream("/WEB-INF/classes/db.properties");
Properties prop = new Properties();
prop.load(is);
String user = prop.getProperty("username");
String pwd = prop.getProperty("password");
resp.getWriter().print(user + ": " + pwd);
}
@Override
protected void doPost(HttpServletRequest req, HttpServletResponse resp) throws ServletException, IOException {
super.doPost(req, resp);
}
}
映射
<servlet>
<servlet-name>sd5</servlet-name>
<servlet-class>com.kuang.servlet.ServletDemo05</servlet-class>
</servlet>
<servlet-mapping>
<servlet-name>sd5</servlet-name>
<url-pattern>/sd5</url-pattern>
</servlet-mapping>
1.6、HttpServletResponse
web服务器接收到客户端的 http请求,针对这个请求,分别创建一个代表请求的 HttpServletRequest对象,代表响应的一个 HttpServletResponse;
- 如果要给客户端响应一些信息:找 HttpServletResponse
1、简单分类
-
负责向浏览器发送数据的方法
// ServletResponse 类中的方法 // 写一般的流用这个 ServletOutputStream getOutputStream() throws IOException; // 写中文的用这个 PrintWriter getWriter() throws IOException; -
负责向浏览器发送响应头的方法
// ServletResponse 类中的方法 void setCharacterEncoding(String var1); void setContentLength(int var1); void setContentLengthLong(long var1); void setContentType(String var1); // HttpServletResponse 类中的方法 void setDateHeader(String var1, long var2); void addDateHeader(String var1, long var2); void setHeader(String var1, String var2); void addHeader(String var1, String var2); void setIntHeader(String var1, int var2); void addIntHeader(String var1, int var2); -
响应的状态码
// HttpServletResponse 类中定义的状态码 int SC_CONTINUE = 100; int SC_SWITCHING_PROTOCOLS = 101; int SC_OK = 200; int SC_CREATED = 201; int SC_ACCEPTED = 202; int SC_NON_AUTHORITATIVE_INFORMATION = 203; int SC_NO_CONTENT = 204; int SC_RESET_CONTENT = 205; int SC_PARTIAL_CONTENT = 206; int SC_MULTIPLE_CHOICES = 300; int SC_MOVED_PERMANENTLY = 301; int SC_MOVED_TEMPORARILY = 302; int SC_FOUND = 302; int SC_SEE_OTHER = 303; int SC_NOT_MODIFIED = 304; int SC_USE_PROXY = 305; int SC_TEMPORARY_REDIRECT = 307; int SC_BAD_REQUEST = 400; int SC_UNAUTHORIZED = 401; int SC_PAYMENT_REQUIRED = 402; int SC_FORBIDDEN = 403; int SC_NOT_FOUND = 404; int SC_METHOD_NOT_ALLOWED = 405; int SC_NOT_ACCEPTABLE = 406; int SC_PROXY_AUTHENTICATION_REQUIRED = 407; int SC_REQUEST_TIMEOUT = 408; int SC_CONFLICT = 409; int SC_GONE = 410; int SC_LENGTH_REQUIRED = 411; int SC_PRECONDITION_FAILED = 412; int SC_REQUEST_ENTITY_TOO_LARGE = 413; int SC_REQUEST_URI_TOO_LONG = 414; int SC_UNSUPPORTED_MEDIA_TYPE = 415; int SC_REQUESTED_RANGE_NOT_SATISFIABLE = 416; int SC_EXPECTATION_FAILED = 417; int SC_INTERNAL_SERVER_ERROR = 500; int SC_NOT_IMPLEMENTED = 501; int SC_BAD_GATEWAY = 502; int SC_SERVICE_UNAVAILABLE = 503; int SC_GATEWAY_TIMEOUT = 504; int SC_HTTP_VERSION_NOT_SUPPORTED = 505;
2、常见应用
-
向浏览器输出消息
-
下载文件(实现浏览器访问该路径自动下载)
- 要获取下载文件的路径
- 下载的文件名是啥?
- 设置想办法让浏览器能够支持下载我们需要的东西
- 获取下载文件的输入流
- 创建缓存区
- 获取 OutputStream对象
- 将 FileOutputStream流写入到 buffer缓存区
- 使用 OutputStream将缓存区中的数据输出到客户端!
import javax.servlet.ServletException; import javax.servlet.ServletOutputStream; import javax.servlet.http.HttpServlet; import javax.servlet.http.HttpServletRequest; import javax.servlet.http.HttpServletResponse; import java.io.FileInputStream; import java.io.IOException; import java.net.URLEncoder; public class FileServlet extends HttpServlet { @Override protected void doGet(HttpServletRequest req, HttpServletResponse resp) throws ServletException, IOException { //1. 要获取下载文件的路径 String realPath = "C:\\Users\\wang\\IdeaProjects\\javaweb-01-servlet\\response\\src\\main\\resources\\网页.png"; System.out.println("下载文件的路径:" + realPath); //2. 下载的文件名是啥? String fileName = realPath.substring(realPath.lastIndexOf("\\") + 1); System.out.println("文件名:"+fileName); //3. 设置想办法让浏览器能够支持(Content-Disposition)下载我们需要的东西 (web下载文件的头信息) // 这里没有等号,文件名将会是映射名 // resp.setHeader("Content-disposition","attachment;filename="+fileName); // 中文文件名使用 URLEncoder.encode编码,否则有可能乱码 resp.setHeader("Content-disposition","attachment;filename="+ URLEncoder.encode(fileName,"UTF-8")); //4. 获取下载文件的输入流 FileInputStream in = new FileInputStream(realPath); //5. 创建缓存区 int len=0; byte[] buffer = new byte[1024]; //6. 获取 OutputStream对象 ServletOutputStream out = resp.getOutputStream(); //7. 将 FileOutputStream流写入到 buffer缓存区,使用 OutputStream将缓存区中的数据输出到客户端! while ((len = in.read(buffer)) > 0){ out.write(buffer,0,len); } // 8. 释放资源 in.close(); out.close(); } }
3、验证码功能
验证怎么来的?
- 前端实现
- 后端实现,需要用到 Java的图片类,生产一个图片
package com.kuang.servlet;
import javax.imageio.ImageIO;
import javax.servlet.ServletException;
import javax.servlet.http.HttpServlet;
import javax.servlet.http.HttpServletRequest;
import javax.servlet.http.HttpServletResponse;
import java.awt.*;
import java.awt.image.BufferedImage;
import java.io.IOException;
import java.util.Random;
public class ImageServlet extends HttpServlet {
@Override
protected void doGet(HttpServletRequest req, HttpServletResponse resp) throws ServletException, IOException {
// 如何让浏览器 3秒自动刷新一次;
resp.setHeader("refresh","3");
// 在内存中创建一个图片
BufferedImage image = new BufferedImage(80, 20, BufferedImage.TYPE_INT_RGB);
// 得到图片
Graphics2D g = (Graphics2D) image.getGraphics(); // 笔
// 设置图片的背景颜色
g.setColor(Color.white);
g.fillRect(0,0,80,20);
// 给图片写数据
g.setColor(Color.BLUE);
g.setFont(new Font(null,Font.BOLD,20)); // 设置字体
g.drawString(makeNum(),0,20); // 把随机数写到图片中
// 告诉浏览器,这个请求用图片的方式打开
resp.setContentType("image/png");
// 网站存在缓存,不让浏览器缓存
resp.setDateHeader("expires",-1); // 不让浏览器缓存图片
resp.setHeader("Cache-Control","no-cache"); // 告诉浏览器不缓存
resp.setHeader("Pragma","no-cache");
// 把图片写给浏览器
ImageIO.write(image,"jpg",resp.getOutputStream());
}
// 生成随机数
private String makeNum(){
Random random = new Random();
String num = random.nextInt(9999999) + "";
StringBuffer sb = new StringBuffer();
for (int i = 0; i < 7-num.length(); i++) {
// 随机数小于 7位数,使用 0填充
sb.append("0");
}
num = sb.toString() + num;
return num;
}
}
4、实现重定向

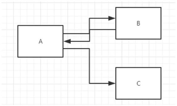
B 一个 web资源收到客户端A 请求后,B他会通知 A客户端去访问另外一个 web资源C,这个过程叫重定向
常见常见:
- 用户登录
// HttpServletResponse类中的 sendRedirect()方法
void sendRedirect(String var1) throws IOException;
测试:
package com.kuang.servlet;
import javax.servlet.ServletException;
import javax.servlet.http.HttpServlet;
import javax.servlet.http.HttpServletRequest;
import javax.servlet.http.HttpServletResponse;
import java.io.IOException;
public class RedirectServlet extends HttpServlet {
@Override
protected void doGet(HttpServletRequest req, HttpServletResponse resp) throws ServletException, IOException {
/* /项目启动路径/映射名 */
resp.sendRedirect("/r/img"); // 重定向
}
}
面试题:请你聊聊重定向和转发的区别?
相同点:
- 页面都会实现跳转
不同点
- 请求转发的时候,url不会产生变化
- 重定向时候,url地址栏会发生变化
案例:用户登录
-
使用 Maven导包
<!-- 需要在 Maven主工程中的 pom.xml导入 jsp需要的包 --> <dependencies> <dependency> <groupId>javax.servlet.jsp</groupId> <artifactId>javax.servlet.jsp-api</artifactId> <version>2.3.3</version> <scope>provided</scope> </dependency> </dependencies> -
编写 Java主程序
package com.kuang.servlet; import javax.servlet.ServletException; import javax.servlet.http.HttpServlet; import javax.servlet.http.HttpServletRequest; import javax.servlet.http.HttpServletResponse; import java.io.IOException; public class RequestTest extends HttpServlet { @Override protected void doGet(HttpServletRequest req, HttpServletResponse resp) throws ServletException, IOException { // 处理请求 String username = req.getParameter("username"); String password = req.getParameter("password"); System.out.println(username + ":" + password); // 重定向到 success文件 // 重定向时候一定要注意,路径问题,否则404; resp.sendRedirect("/r/success.jsp"); } } -
映射
<web-app xmlns="http://xmlns.jcp.org/xml/ns/javaee" xmlns:xsi="http://www.w3.org/2001/XMLSchema-instance" xsi:schemaLocation="http://xmlns.jcp.org/xml/ns/javaee http://xmlns.jcp.org/xml/ns/javaee/web-app_4_0.xsd" version="4.0" metadata-complete="true"> <servlet> <servlet-name>requset</servlet-name> <servlet-class>com.kuang.servlet.RequestTest</servlet-class> </servlet> <servlet-mapping> <servlet-name>requset</servlet-name> <url-pattern>/login</url-pattern> </servlet-mapping> </web-app> -
默认 index.jsp编写表单
<html> <body> <h2>Hello World!</h2> <!-- 这里提交的路径,需要找到项目的路径 --> <!-- ${pageContext.request.contextPath} 代表当前的项目 --> <form action="${pageContext.request.contextPath}/login" method="GET"> 用户名:<input type="text" name="username"> <br> 密码:<input type="password" name="password"> <br> <input type="submit"> </form> </body> </html> -
重定向的页面
<html> <body> <h2>Success<h2> </body> </html>
1.7、HttpServletRequest
HttpServletRequest代表客户端的请求,用户通过 Http协议访问服务器,HTTP请求中的所有信息会被封装到 HttpServletRequest,通过这个 HttpServletRequest的方法,获得客户端的所有信息
- 如果要获取客户端请求过来的参数:找 HttpServletRequest
获取参数,请求转发

登录界面
<%-- 此 jsp页面的信息 --%>
<%@ page contentType="text/html;charset=UTF-8" language="java" %>
<html>
<body>
<h1>登录</h1>
<div style="text-align: center">
<%-- 以 post方式提交表单,提交到我们的 login请求 --%>
<form action="${pageContext.request.contextPath}/login" method="POST">
用户名:<input type="text" name="username"> <br>
密码:<input type="password" name="password"> <br>
爱好:
<input type="checkbox" name="hobbys" value="女孩">女孩
<input type="checkbox" name="hobbys" value="代码">代码
<input type="checkbox" name="hobbys" value="唱歌">唱歌
<input type="checkbox" name="hobbys" value="电影">电影
<br>
<input type="submit">
</form>
</div>
</body>
</html>
映射
<servlet>
<servlet-name>loginServlet</servlet-name>
<servlet-class>com.kuang.servlet.LoginServlet</servlet-class>
</servlet>
<servlet-mapping>
<servlet-name>loginServlet</servlet-name>
<url-pattern>/login</url-pattern>
</servlet-mapping>
Java代码
package com.kuang.servlet;
import javax.servlet.ServletException;
import javax.servlet.http.HttpServlet;
import javax.servlet.http.HttpServletRequest;
import javax.servlet.http.HttpServletResponse;
import java.io.IOException;
import java.util.Arrays;
public class LoginServlet extends HttpServlet {
@Override
protected void doPost(HttpServletRequest req, HttpServletResponse resp) throws ServletException, IOException {
// 接收的时候编码为 UTF-8
req.setCharacterEncoding("utf-8");
String username = req.getParameter("username");
String password = req.getParameter("password");
String[] hobbys = req.getParameterValues("hobbys");
System.out.println("==================");
System.out.println(username);
System.out.println(password);
System.out.println(Arrays.toString(hobbys));
System.out.println("=================");
// 通过请求转发
// 这里的 / 代表当前的 web应用
req.getRequestDispatcher("/success.jsp").forward(req,resp);
// 结束的时候返回去的为 UTF-8编码
resp.setCharacterEncoding("utf-8");
}
}
登录后的页面
<%-- 此页面的信息 --%>
<%@ page contentType="text/html;charset=UTF-8" language="java" %>
<html>
<body>
<h1>登录成功</h1>
</body>
</html>
面试题:请你聊聊重定向和转发的区别?
相同点:
- 页面都会实现跳转
不同点
- 请求转发的时候,url不会产生变化,编码:307
- 重定向时候,url地址栏会发生变化,编码:302

浙公网安备 33010602011771号