14.手写数字识别-小数据集
1.手写数字数据集
- from sklearn.datasets import load_digits
- digits = load_digits()
from sklearn.datasets import load_digits import numpy as np import pandas as pd from sklearn.preprocessing import MinMaxScaler from sklearn.preprocessing import OneHotEncoder digits = load_digits() X_data = digits.data.astype(np.float32) Y_data = digits.target.astype(np.float32).reshape(-1,1)#将Y_data变为一列
2.图片数据预处理
- x:归一化MinMaxScaler()
- y:独热编码OneHotEncoder()或to_categorical
- 训练集测试集划分
- 张量结构
#将属性缩放到一个指定的最大和最小值(通常食0-1)之间
scaler = MinMaxScaler()
X_data = scaler.fit_transform(X_data)
print('MinMaxScaler_trans_X_data:')
print(X_data)
Y = OneHotEncoder().fit_transform(Y_data).todense() #one-hot编码
print('ne-hot_Y:')
print(Y)
#转换为图片的格式(batch,height,width,channels)
X=X_data.reshape(-1,8,8,1)
from sklearn.model_selection import train_test_split
X_train,X_test,Y_train,Y_test = train_test_split(X,Y,test_size=0.2,random_state=0,stratify=Y)
print(X_train.shape,X_test.shape,Y_train.shape,Y_test.shape)


3.设计卷积神经网络结构
- 绘制模型结构图,并说明设计依据。

from tensorflow.keras.models import Sequential from tensorflow.keras.layers import Dense,Dropout,Flatten,Conv2D,MaxPool2D #建立模型 model = Sequential() ks = (3, 3) # 卷积核的大小 input_shape = X_train.shape[1:] # 一层卷积,padding='same',tensorflow会对输入自动补0 model.add(Conv2D(filters=16, kernel_size=ks, padding='same', input_shape=input_shape, activation='relu'))#第一层输入数据的shape要指定外,其他层的数据的shape框架会自动推导 # 池化层1 model.add(MaxPool2D(pool_size=(2, 2))) # 防止过拟合,随机丢掉连接 model.add(Dropout(0.25)) # 二层卷积 model.add(Conv2D(filters=32, kernel_size=ks, padding='same', activation='relu')) # 池化层2 model.add(MaxPool2D(pool_size=(2, 2))) model.add(Dropout(0.25)) # 三层卷积 model.add(Conv2D(filters=64, kernel_size=ks, padding='same', activation='relu')) # 四层卷积 model.add(Conv2D(filters=128, kernel_size=ks, padding='same', activation='relu')) # 池化层3 model.add(MaxPool2D(pool_size=(2, 2))) model.add(Dropout(0.25)) # 平坦层 model.add(Flatten()) # 全连接层 model.add(Dense(128, activation='relu')) model.add(Dropout(0.25)) # 激活函数softmax model.add(Dense(10, activation='softmax')) model.summary() model.compile(loss='categorical_crossentropy', optimizer='adam', metrics=['accuracy']) train_history = model.fit(x=X_train, y=Y_train, validation_split=0.2, batch_size=300, epochs=10, verbose=2) score = model.evaluate(X_test,Y_test) score



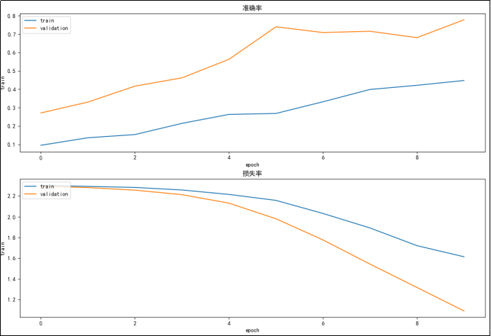
4.模型训练
import matplotlib.pyplot as plt
def show_train_history(train_history, train, validation):
plt.plot(train_history.history[train])
plt.plot(train_history.history[validation])
plt.title('Train History')
plt.ylabel('train')
plt.xlabel('epoch')
plt.legend(['train', 'validation'], loc='upper left')
plt.show()
p = plt.figure(figsize=(15, 15))
a1 = p.add_subplot(2, 1, 1)
show_train_history(train_history, 'accuracy', 'val_accuracy')
plt.title("准确率")
a2 = p.add_subplot(2, 1, 2)
show_train_history(train_history, 'loss', 'val_loss')
plt.title("损失率")
plt.show()

5.模型评价
- model.evaluate()
- 交叉表与交叉矩阵
- pandas.crosstab
- seaborn.heatma
import seaborn as sns
score = model.evaluate(X_test, Y_test)
print('score:', score)
# 预测值
y_pred = model.predict_classes(X_test)
print('y_pred:', y_pred[:10])
# 交叉表与交叉矩阵
y_test1 = np.argmax(Y_test, axis=1).reshape(-1)
y_true = np.array(y_test1)[0]
# 交叉表查看预测数据与原数据对比
pd.crosstab(y_true, y_pred, rownames=['true'], colnames=['predict'])
# 交叉矩阵
y_test1 = y_test1.tolist()[0]
a = pd.crosstab(np.array(y_test1), y_pred, rownames=['Lables'], colnames=['Predict'])
df = pd.DataFrame(a)
sns.heatmap(df, annot=True, cmap="Reds", linewidths=0.2, linecolor='G')
plt.show()


浙公网安备 33010602011771号