作业9 DFA最小化,语法分析初步
- 将DFA最小化:教材P65 第9题
题目:

|
I |
{1,2,3,4,5} |
{6,7} |
|
|
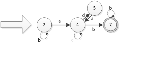
{1,2}b->{1,2,3,4,5} {3,4}b->{6,7} {5}b->{} {1,2,3,4,5}可区别,划分 |
|
|
II |
{1,2}{3,4}{5} |
{6,7} |
|
|
{1}a->{3,4},{2}a->{3,4} {1}b->{1,2},{2}b->{1,2} {1,2}不可区别,等价 {3}b->{6,7},{4}b->{6,7} {3}c->{3,4},{4}c->{3,4} {3}d->{5},{4}d->{5} {3,4}不可区别,等价 |
|
|
III |
{1,2}{3,4}{5} |
{6,7} |
|
|
|
{6}b->{6,7},{7}b->{6,7} {6,7}不可区别,等价 |
DFA最小化:

2.构造以下文法相应的最小的DFA
S→ 0A|1B
A→ 1S|1
B→0S|0
正规式:
S=0A+1B,A=1S+1,B=0S+0
S=01S+01+10S+10=(01+10)S+01+10
S=(01|10)*(01|10)
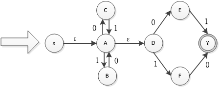
NFA:

DFA:
|
|
|
0 |
1 |
|
0 |
Ɛ{X}={XAD} |
{CE} |
{BF} |
|
1 |
{CE} |
|
Ɛ{AY}={ADY} |
|
2 |
{BF} |
Ɛ{AY}={ADY} |
|
|
3 |
{ADY} |
{CE} |
{BF} |

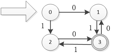
简化:
|
I |
{0,1,2} |
{4} |
|
|
{0}0->{1} {1}0->{} {2}0->{3} {0,1,2}可区别,划分 |
|
|
II |
{0}{1}{2} |
{4} |
|
|
|
|

3.给定如下文法 G[S]:
S →AB
A → aA | ɛ
B → b | bB
给出句子aaab 的一个自顶向下语法分析过程,并说明回溯产生的原因是什么?
S -> AB
S -> aAB
S -> aaAB
S -> aaaAB
S -> aaaɛb
S -> aaab
回溯产生的原因是反复提取公共左因子。
4.P100 练习4,反复提取公共左因子,对文法进行改写。
S->C$
C->bA|aB
A->aD|bAA
B->bD|aBB
D->C|ε
浙公网安备 33010602011771号