作业7 正规式到正规文法与自动机
1.正规式转换到正规文法
对任意正规式R选择一个非终结符Z生成规则Z→R
1.对形如A→ab的规则,转换成A→aB,B→b
2.将形如A→a|b的规则,转换成A→a,A→b(A→a|b)
3.将形如A→a*b的规则,转换成A→aA,A→b
将形如A→ba*的规则,转换成A→Aa,A→b
不断利用上述规则进行转换,直到每条规则最多含有一个终结符为止.
(1)1(0|1)*101
S->A1
A->B0
B->C1
C->1|C0|C1
(2) (a|b)*(aa|bb)(a|b)*
S->aS|bS|aA|bB|Sa|Sb
A->a
B->b
(3)((0|1)*|(11))*
S->ε|0S|1S|1A
A->1S
(4)(0|110)
S->0|A0
A->B1
B->1
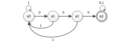
2. 自动机M=({q0,q1,q2,q3},{0,1},f,q0,{q3})
其中f:
(q0,0)=q1
(q1,0)=q2
(q2,0)=q3
(q0,1)=q0
(q1,1)=q0
(q2,1)=q0
(q3,0)=q3
(q3,1)=q3
画现状态转换矩阵和状态转换图,识别的是什么语言。
状态矩阵:
|
0 |
1 |
|
|
q0 |
q1 |
q0 |
|
q1 |
q2 |
q0 |
|
q2 |
q3 |
q0 |
|
q3 |
q3 |
q3 |
状态转换图:

识别的语言为:
(1|01|001)*000(0|1)*
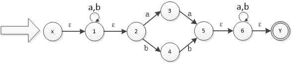
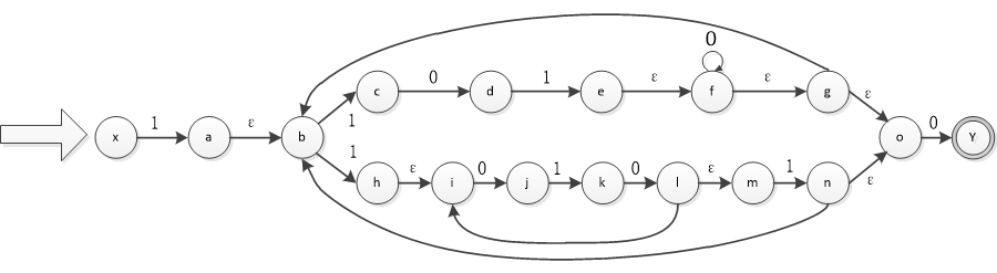
3.由正规式R 构造 自动机NFA
(a|b)*abb

(a|b)*(aa|bb)(a|b)*

1(1010*|1(010)*1)*0

浙公网安备 33010602011771号