AVL树的构建
一、AVL树简介
AVL树是一棵自平衡的二叉搜索树,前篇讲过了BST(二叉搜索树),那为什么还需要AVL树呢,因为BST有个缺点,如果我插入的值是单调递增或递减,那么这棵树就会退化成一条链表,有个专业术语也叫作斜树,这会导致原来logn的搜索插入效率变成O(n),为了防止这种退化,就产生了AVL树,当然还有RBT(红黑树),这期我就来总结一下我对于AVL树的想法。
二、构建AVL树的操作
AVL树也是一棵二叉搜索树,所以他的构建过程与二叉搜索树的构建过程十分类似,只是我们在插入的时候要判断是否平衡,所谓平衡就是某个节点的左右子树高度差不超过1,如果超过1我们就需要调整。
第一个操作RR
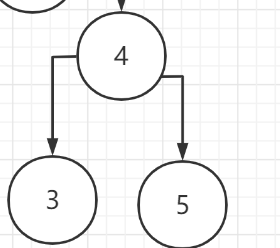
首先我们分析1,2,3,4,5,的情况
树图为

这也是我们首先要解决的第一种情况,也称为RR型,我们观察到3的右孩子高度为2,左孩子没有(高度为0),所以失衡了,那么就需要调整,怎么调整呢?--------左旋,所谓左旋就是把需要调整的那个节点放下来,把他的右孩子放上去。

这样子就保持了二叉搜索树的平衡,那么做了哪些操作呢,首先把3的高度下降,就是把4节点的左孩子指针指向3,然后把3连向4的右孩子指针指向4的左孩子就可以了,不过要记得更新旋转的节点的高度,为什么只需要更新这两个节点的高度呢?-------因为我没游动他们的子节点,自然也不会改变他们子节点的高度,所以更新他们的高度就可以了,他们的高度就是左右孩子的最大值+1.
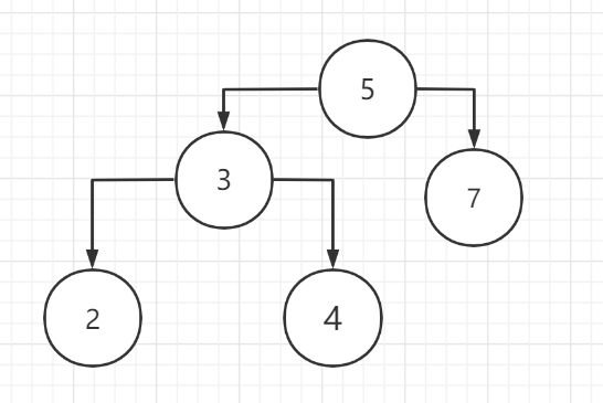
第二个操作LL
所谓LL就是出现在4,2,7,1节点插入的情况下
树图为

此时右边发生了失衡,也就是RR型失衡,那么我们把节点左旋,把2拽上去,把4拿下来,也就是把2和4的连线拆掉,然后把2的右指针连向4,再把4的左指针连向2的右指针就行了
LL后的树图

两种简单的情况都分析完了,那么我们再来分析最后两种难一点的情况
第三个操作LR
当你插入的数为8,7,10,15,11时,你会发现树图为这样

10这个节点失衡了,导致了8也失衡了,我们只需要把10这个节点平衡了,8自然也会好了,所以我们的任务是把10进行平衡,但是无论我们怎样尝试,发现都不可以一次性把10这个节点进行平衡,所以我们尝试把10的右节点向右旋,把11转上去,这样就形成了RR型,接下来进行一次RR就行了。
第一步:把11转上去

这不就是我们分析的第一种情况了吗?那么我们直接把10进行RR左旋即可,

看他又平衡了!
第四种操作LR
当我们插入的节点为 5,7,4,2,3时
树图为

同理我们发现4这个节点失衡了,导致了5这个节点也失衡了,所以我们调整4后一定能把5也调整好,那我们怎么调整4呢?前面的RL型两次才能完成这个操作,那么这个LR型也一样,不过顺序是相反的而已,及先把4的左孩子进行右旋LL,把3转上去。

这不就是第二种操作吗?然后你直接再对4节点进行LL操作即可调整完毕。注意啊,双旋操作第一次操作是针对他的孩子进行的操作!!!
然后我们发现进行完LL后,树已经平衡了
树图为

至此我们就分析完了AVL的操作以及构建,至于删除操作,以后再说。。。。。
三、AVL代码实现
1 #include "bits/stdc++.h" 2 using namespace std; 3 struct node { 4 int val; 5 int h = 0;//定义高度初始化为0 6 node *lchild = NULL; 7 node *rchild = NULL; 8 }; 9 int getHeight(node *root)//获取节点高度 10 { 11 if(root == NULL) 12 return 0; 13 return root->h; 14 } 15 node* LLrotation(node *root){//右旋操作 16 node *temp = root->lchild; 17 root->lchild = temp->rchild; 18 temp->rchild = root; 19 root->h = max(getHeight(root->lchild),getHeight(root->rchild)) + 1;//旋转的过程中会改变树的高度 20 temp->h = max(getHeight(temp->lchild),getHeight(temp->rchild)) + 1;//更新节点的高度 21 return temp; 22 } 23 node* RRrotation(node *root){//RR的情况就左旋 拽着不平衡的点旋转 24 node *temp = root->rchild; 25 root->rchild = temp->lchild; 26 temp->lchild = root; 27 root->h = max(getHeight(root->lchild),getHeight(root->rchild)) + 1;//更新节点的高度 28 temp->h = max(getHeight(temp->lchild),getHeight(temp->rchild)) + 1; 29 return temp; 30 } 31 node* LRrotation(node* root){//双旋操作 32 root->lchild = RRrotation(root->lchild); 33 root = LLrotation(root); 34 return root; 35 } 36 node* RLrotation(node *root){//双旋操作 37 root->rchild = LLrotation(root->rchild); 38 root = RRrotation(root); 39 return root; 40 } 41 node* createAvl(node *root,int data) 42 { 43 if(root == NULL){ 44 root = new node(); 45 root->val = data; 46 root->h = 1;//高度初始化 47 return root; 48 } 49 if(root->val <= data){ 50 root->rchild = createAvl(root->rchild,data);//节点插入操作 51 if(getHeight(root->rchild) - getHeight(root->lchild) == 2){//如果右边失去平衡则进行调整,注意调整是在插入节点后调整 52 if(data > root->rchild->val)//RR如果插入的值在失衡节点的右边的右边,那就进行左旋操作,也就是RR操作 53 root = RRrotation(root); 54 else 55 root = RLrotation(root);//如果插入的值在失衡节点的右边的左边,那就进行双旋操作,也就是RL操作 56 } 57 } 58 else if(root->val > data){ 59 root->lchild = createAvl(root->lchild,data);//节点插入操作 60 if(getHeight(root->lchild) - getHeight(root->rchild) == 2){//如果左边失去平衡则进行调整,注意调整是在插入节点后调整 61 if(root->lchild->val > data)//如果插入的值在失衡节点的左边的左边,那就进行右旋操作,也就是LL操作 62 root = LLrotation(root);//LL 63 else 64 root = LRrotation(root);//LR 如果插入的值在失衡节点的左边的右边,那就进行双旋操作,也就是LR操作 65 } 66 } 67 else 68 cout << "Add fail!\n"; 69 root->h = max(getHeight(root->lchild),getHeight(root->rchild)) + 1;//当前这个根节点因为新加入的节点也要更新高度 70 return root; 71 } 72 void bfs(node *root)//层次遍历 73 { 74 queue <node*> ans; 75 ans.push(root); 76 while(!ans.empty()){ 77 int len = ans.size(); 78 for(int i = 0;i < len;i++){ 79 node *v = ans.front(); 80 ans.pop(); 81 cout << v->val << " "; 82 if(v->lchild) ans.push(v->lchild); 83 if(v->rchild) ans.push(v->rchild); 84 } 85 } 86 } 87 void printPre(node *root)//前序遍历 88 { 89 if(root){ 90 cout << root->val << " "; 91 printPre(root->lchild); 92 printPre(root->rchild); 93 } 94 } 95 void printAft(node *root)//后序遍历 96 { 97 if(root){ 98 printAft(root->lchild); 99 printAft(root->rchild); 100 cout << root->val << " "; 101 } 102 } 103 void printMle(node *root)//中序遍历 104 { 105 if(root){ 106 printMle(root->lchild); 107 cout << root->val << " "; 108 printMle(root->rchild); 109 } 110 } 111 int main()//RR LL RL LR已经调试成功 112 { 113 node *root = NULL; 114 // root = createAvl(root,8); 115 // root = createAvl(root,7); 116 // root = createAvl(root,10); 117 // root = createAvl(root,15); 118 // root = createAvl(root,11); 119 root = createAvl(root,3); 120 root = createAvl(root,4); 121 root = createAvl(root,5); 122 cout << "Pre_Order:"; 123 printPre(root); 124 cout << endl; 125 cout << "Mid_Order:"; 126 printMle(root); 127 cout << endl; 128 cout << "Aft_Order:"; 129 printAft(root); 130 cout << endl; 131 cout << "Flr_Order:"; 132 bfs(root); 133 return 0; 134 }
本文来自博客园,作者:{scanner},转载请注明原文链接:{https://home.cnblogs.com/u/scannerkk/}

浙公网安备 33010602011771号