二叉树的构建以及遍历
一、前言
今天学习了下二叉树的构建以及遍历,感觉还是挺简单的。
二、树的构建
我们利用输入的字符串,依次是从根节点到左儿子再到右儿子,也就是根据字符如果不是'#'就创建节点返回,如果是,再创建它的左右节点,依次结束树的创建。
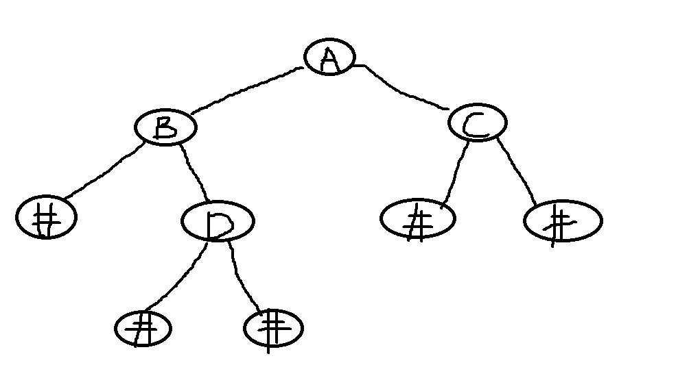
比如说我们输入一串字符串“AB#D##C##”(#代表空)
它的树图为:

代码实现为:
1 node *CreateTree() 2 { 3 scanf("%c",&ch); 4 node *Tree; 5 if(ch == '#')//空节点则返回 6 Tree = NULL; 7 else { 8 Tree = new node();//c++申请空间的方法,c语言的为Tree = (node *)malloc (sizeof(node)); 9 Tree->date = ch; 10 Tree->leftChild = CreateTree();//创建左孩子节点 11 Tree->rightChild = CreateTree();//创建右孩子节点 12 } 13 return Tree; 14 }
三、树的遍历:
1.前序遍历:
所谓前序遍历,就是先从根部,走左子树,再走右子树。
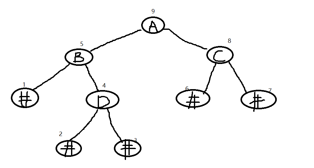
根据画的树图可以标明顺序为

代码实现如下:
1 void PreTraverse(node *root)//前序遍历 2 { 3 if(root == NULL) 4 return; 5 else { 6 printf("%c",root->date); 7 PreTraverse(root->leftChild); 8 PreTraverse(root->rightChild);//AB#D##C## 9 } 10 }
2.中序遍历:
所谓中序遍历就是,先走左子树,再走根部,再走右子树。
根据树图不难写出顺序如下:

代码实现就是在前序的情况下换下printf的位置即可
1 void MidTraverse(node *root)//中序遍历 2 { 3 if(root == NULL) 4 return; 5 else { 6 MidTraverse(root->leftChild); 7 printf("%c",root->date); 8 MidTraverse(root->rightChild); 9 } 10 }
3.后序遍历:
后序遍历就是先走左子树,再走右子树,再走根部
树图为:

代码改动也不大,如下:
1 void AftTraverse(node *root)//后序遍历 2 { 3 if(root == NULL) 4 return; 5 else { 6 AftTraverse(root->leftChild); 7 AftTraverse(root->rightChild); 8 printf("%c",root->date); 9 } 10 }
4.层次遍历:
1 int bfs(node *root) 2 { 3 queue <node*> ans; 4 int f = 0; 5 ans.push(root); 6 while(!ans.empty()){ 7 f++; 8 int len = ans.size(); 9 for(int i = 1;i <= len;i++){ 10 node *v = ans.front(); 11 ans.pop(); 12 cout << f << ',' << v->val << endl; 13 if(v->left) ans.push(v->left); 14 if(v->right) ans.push(v->right); 15 } 16 } 17 return f;//层数 18 }
四、完整的代码以及运行情况
1 #include "bits/stdc++.h" 2 using namespace std; 3 struct node{ 4 char date; 5 node *leftChild; 6 node *rightChild; 7 }; 8 char ch; 9 node *CreateTree() 10 { 11 scanf("%c",&ch); 12 node *Tree; 13 if(ch == '#')//防止数组越界 14 Tree = NULL; 15 else { 16 Tree = new node(); 17 Tree->date = ch; 18 Tree->leftChild = CreateTree(); 19 Tree->rightChild = CreateTree(); 20 } 21 return Tree; 22 } 23 void PreTraverse(node *root)//前序遍历 24 { 25 if(root == NULL) 26 return; 27 else { 28 printf("%c",root->date); 29 PreTraverse(root->leftChild); 30 PreTraverse(root->rightChild);//AB#D##C## 31 } 32 } 33 void MidTraverse(node *root)//中序遍历 34 { 35 if(root == NULL) 36 return; 37 else { 38 MidTraverse(root->leftChild); 39 printf("%c",root->date); 40 MidTraverse(root->rightChild); 41 } 42 } 43 void AftTraverse(node *root)//后序遍历 44 { 45 if(root == NULL) 46 return; 47 else { 48 AftTraverse(root->leftChild); 49 AftTraverse(root->rightChild); 50 printf("%c",root->date); 51 } 52 } 53 int main() 54 { 55 node *root; 56 root = CreateTree(); 57 PreTraverse(root); 58 printf("\n"); 59 MidTraverse(root); 60 printf("\n"); 61 AftTraverse(root); 62 printf("\n"); 63 return 0; 64 }

五、总结
今天是放假时间,顺便补个时长,复习了一下二叉树的构建与遍历,感觉收获了挺多的,加油!
本文来自博客园,作者:{scanner},转载请注明原文链接:{https://home.cnblogs.com/u/scannerkk/}

浙公网安备 33010602011771号