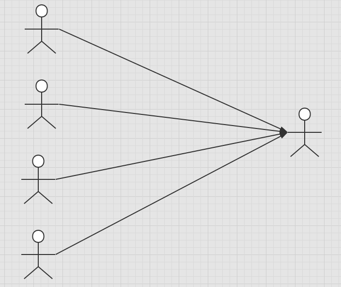
多对一处理
多对一处理

- 多个学生,对应一个老师
- 对于学生这边而言, 关联 … 多个学生,关联一个老师 【多对一】
- 对于老师而言, 集合 , 一个老师,有很多学生 【一对多】
SQL:
CREATE TABLE `teacher` (
`id` INT(10) NOT NULL,
`name` VARCHAR(30) DEFAULT NULL,
PRIMARY KEY (`id`)
) ENGINE=INNODB DEFAULT CHARSET=utf8
INSERT INTO teacher(`id`, `name`) VALUES (1, '秦老师');
CREATE TABLE `student` (
`id` INT(10) NOT NULL,
`name` VARCHAR(30) DEFAULT NULL,
`tid` INT(10) DEFAULT NULL,
PRIMARY KEY (`id`),
KEY `fktid` (`tid`),
CONSTRAINT `fktid` FOREIGN KEY (`tid`) REFERENCES `teacher` (`id`)
) ENGINE=INNODB DEFAULT CHARSET=utf8
INSERT INTO `student` (`id`, `name`, `tid`) VALUES ('1', '小明', '1');
INSERT INTO `student` (`id`, `name`, `tid`) VALUES ('2', '小红', '1');
INSERT INTO `student` (`id`, `name`, `tid`) VALUES ('3', '小张', '1');
INSERT INTO `student` (`id`, `name`, `tid`) VALUES ('4', '小李', '1');
INSERT INTO `student` (`id`, `name`, `tid`) VALUES ('5', '小王', '1');
测试环境搭建
-
导入lombok
-
新建实体类 Teacher,Student
@Data public class Student { private int id; private String name; // private int tid; //学生关联老师 private Teacher teacher; }@Data public class Teacher { private int id; private String name; } -
建立Mapper接口
public interface TeacherMapper { @Select(" select * from teacher where id = #{id}") Teacher getTeacher(@Param("id") int id); } -
建立Mapper.XML文件
<?xml version="1.0" encoding="UTF-8" ?> <!DOCTYPE mapper PUBLIC "-//mybatis.org//DTD Mapper 3.0//EN" "http://mybatis.org/dtd/mybatis-3-mapper.dtd"> <mapper namespace="com.saxon.dao.StudentMapper"> </mapper> -
在核心配置文件中绑定注册我们的Mapper接口或者文件!【方式很多,随心选】
<?xml version="1.0" encoding="UTF-8"?> <!DOCTYPE configuration PUBLIC "-//mybatis.org//DTD Config 3.0//EN" "http://mybatis.org/dtd/mybatis-3-config.dtd"> <configuration> <properties resource="db.properties"/> <settings> <setting name="logImpl" value="LOG4J"/> </settings> <typeAliases> <package name="com.saxon.pojo"/> </typeAliases> <environments default="development"> <environment id="development"> <transactionManager type="JDBC"/> <dataSource type="POOLED"> <property name="driver" value="${driver}"/> <property name="url" value="${url}"/> <property name="username" value="${username}"/> <property name="password" value="${password}"/> </dataSource> </environment> </environments> <mappers> <mapper resource="com/saxon/dao/StudentMapper.xml"/> <mapper resource="com/saxon/dao/TeacherMapper.xml"/> </mappers> </configuration> -
测试查询是否能够成功!
public class TeacherMapperTest{
@Test
public void getTeacher(){
SqlSession sqlSession = MybatisUtils.getSqlSession();
TeacherMapper mapper = sqlSession.getMapper(TeacherMapper.class);
Teacher teacher = mapper.getTeacher(1);
System.out.println(teacher);
sqlSession.close();
}
}
按照查询嵌套处理
<!--
思路:
1. 查询所有的学生信息
2. 根据查询出来的学生的tid,寻找对应的老师! 子查询
-->
<select id="getStudent" resultMap="StudentTeacher">
select * from student
</select>
<resultMap id="StudentTeacher" type="Student">
<result property="id" column="id"/>
<result property="name" column="name"/>
<!--复杂的属性,我们需要单独处理 对象: association 集合: collection -->
<association property="teacher" column="tid" javaType="Teacher" select="getTeacher"/>
</resultMap>
<select id="getTeacher" resultType="Teacher">
select * from teacher where id = #{id}
</select>
按照结果嵌套处理
<!--按照结果嵌套处理-->
<select id="getStudent2" resultMap="StudentTeacher2">
select s.id sid,s.name sname,t.name tname
from student s,teacher t
where s.tid = t.id;
</select>
<resultMap id="StudentTeacher2" type="Student">
<result property="id" column="sid"/>
<result property="name" column="sname"/>
<association property="teacher" javaType="Teacher">
<result property="name" column="tname"/>
</association>
</resultMap>

浙公网安备 33010602011771号