题目
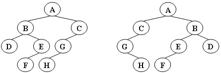
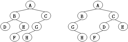
给定两棵树T1和T2。如果T1可以通过若干次左右孩子互换就变成T2,则我们称两棵树是“同构”的。例如图1给出的两棵树就是同构的,因为我们把其中一棵树的结点A、B、G的左右孩子互换后,就得到另外一棵树。而图2就不是同构的。
图

图一

图二
现给定两棵树,请你判断它们是否是同构的。
输入格式:
输入给出2棵二叉树树的信息。对于每棵树,首先在一行中给出一个非负整数N
(≤10),即该树的结点数(此时假设结点从0到N−1编号);随后N行,第i行对应编号第i个结点,给出该结点中存储的1个英文大写字母、其左孩子结点的编号、右孩子结点的编号。如果孩子结点为空,则在相应位置上给出“-”。给出的数据间用一个空格分隔。注意:题目保证每个结点中存储的字母是不同的。
输出格式:
如果两棵树是同构的,输出“Yes”,否则输出“No”。
输入样例1(对应图1):
8
A 1 2
B 3 4
C 5 -
D - -
E 6 -
G 7 -
F - -
H - -
8
G - 4
B 7 6
F - -
A 5 1
H - -
C 0 -
D - -
E 2 -
输出样例1:
Yes
输入样例2(对应图2):
8
B 5 7
F - -
A 0 3
C 6 -
H - -
D - -
G 4 -
E 1 -
8
D 6 -
B 5 -
E - -
H - -
C 0 2
G - 3
F - -
A 1 4
输出样例2:
No
题目分析:
先看同构的树有什么特征,虽然左右次序不相同,但他们的子树的值都相同,如图1,A的子树都是B和C,B的子树都是D和E,等等;图2的则不相同,因此他们不是同构,因此判断方式就很明显了,通过判断子树的值来判断是否同构,判断的方法采取递归。然后看看输入样例的结构,为了贴合输入样例,我们使用静态链表(用数组表示的链表),来表示树。每个结点由左子节点,存储的数据(即ABCD·····),右子节点这三部分构成,其中左子节点来表示左儿子的下标,右子节点来表示右儿子的下标。再观察输入样例,发现树的输入是无序的,因此还要找到根的位置,我们很容易想到,除了根以外的结点下标,都会被一个子节点所存储,因此只要找到没有被指向的那个下标,这个下标上的结点就是根结点了。
代码实现:
#include <iostream>
using namespace std;
#define null -1 //结点没有儿子,那么他的左(右)子节点就是空的
#define Tree int
struct TreeNode //树的结点
{
char data;
int lchild;
int rchild;
} t1[10], t2[10];
Tree CreateTree(TreeNode a[])
{
int n, i, root;
char left, right; //输入的左右编号可能是'-',因此用char来存储输入左右编号的输入
int check[10] = {0}; //用来判断根在哪
cin >> n;
if (!n) //结点数为0,返回空树
return null;
for (i = 0; i < n; i++)
{
cin >> a[i].data >> left >> right;
if (left == '-')
a[i].lchild = null;
else
{
a[i].lchild = left - '0'; //将左右编号的输入转为数字然后存入节点中
check[a[i].lchild] = 1; //表面这个节点已经被指了
}
if (right == '-')
a[i].rchild = null;
else
{
a[i].rchild = right - '0';
check[a[i].rchild] = 1;
}
}
for (i = 0; i < n; i++) //判断哪个结点没有被指过
{
if (check[i] == 0)
break;
}
root = i; //将根节点的位置返回
return root;
}
bool isomorphism(Tree r1, Tree r2)
{
if (r1 == null && r2 == null) //两树皆空,是同构
return true;
if ((r1 != null && r2 == null) || (r1 == null && r2 != null)) //一树空,一树不空,不是同构
return false;
if (t1[r1].data != t2[r2].data) //两树根结点的值不同,不是同构
return false;
if (t1[r1].lchild == null && t2[r2].lchild == null) //左子树皆空,判断右子树
return isomorphism(t1[r1].rchild, t2[r2].rchild);
if ((t1[t1[r1].lchild].data == t2[t2[r2].lchild].data) && //左子树皆不空且值相等,继续判断左子树的子树以及右子树
(t1[r1].lchild != null && t2[r2].lchild != null))
return isomorphism(t1[r1].lchild, t2[r2].lchild) &&
isomorphism(t1[r1].rchild, t2[r2].rchild);
else //有空的左子树或是左子树值不相等,那么就判断左子树和右子树的值是否彼此相等
return isomorphism(t1[r1].rchild, t2[r2].lchild) &&
isomorphism(t1[r1].lchild, t2[r2].rchild);
}
int main()
{
Tree r1 = CreateTree(t1), r2 = CreateTree(t2);
if (isomorphism(r1, r2))
cout << "YES";
else
cout << "NO";
return 0;
}
浙公网安备 33010602011771号