原理探究与精力分配
原理探究
我有时候会想,对于我现在理解的一些知识,能否很快地教会以前的自己?这真是个费脑子的问题。如果没有整理好知识的要点、把握好知识的本质的话,估计也不能帮助以前的自己更好地理解知识。
理解到知识的本质是一个关键。对于如何理解一个事物,我也接触到或感受到过一些模糊的方法。我比较认可的是先能从全局掌握一个事物,然后可以针对性地再去掌握事物的某个细节。
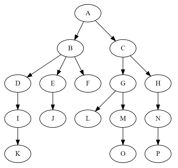
这个方法也可以更清晰一点。理解一个事物可以类比于研究数据结构中的一棵树。
一个最本质的概括即是根节点,而这个事物可以被分成哪些方面则对应了它的子节点,更细节的内容则在更深层的子节点中展开。这样,想要理解事物中某一个细节的内容,就可以从根节点依次向下直到那个节点,逐个掌握,这是最理想的方式。自上而下、由整体到局部地去掌握一个事物,可以让你知道某个部分在整个事物中处于什么位置,可以让你知道这部分内容应该是什么样的、为什么是这样的。
如果你想大致地了解某个事物,而又不打算去完全掌握这个事物的方方面面,则可以只掌握根节点,或者只掌握到后面的第几层。
很现实的问题是,对于一个事物,谁能确定它对应的那棵树是什么样的呢?它的根节点是什么,它又可以被划分为哪些方面呢?很少有人或书籍清楚地指出了这些。所以整理和研究出这棵树,是努力的方向。
精力分配
用有限的精力和时间去掌握许多事物的方方面面,常常是不可取的。精力和时间如何分配,就看自己的选择了。
有个类似这样的比喻:人可能会沿着一个方向闭着眼睛跑下去,跑了很远发现方向不对;其实可以跑一段距离就观察观察,调整调整方向,不至于偏得太离谱。
人根据自己的认知,确定如何分配自己的精力和时间,认知更新了,再调整自己的分配方案。
Date: 2021-05-03 01:02

浙公网安备 33010602011771号