2003031129-孙杰-Python数据分析第三周作业
| 项目 | 内容 |
| 课程班级博客链接 | https://edu.cnblogs.com/campus/pexy/20sj |
| 这个作业要求链接 | https://edu.cnblogs.com/campus/pexy/20sj/homework/12540 |
| 博客名称 | 2003031129—孙杰—Python数据分析第三周作业-numpy的简单操作 |
| 要求 |
每道题要有题目,代码(使用插入代码,不会插入代码的自己查资料解决,不要直接截图代码!!),截图(只截运行结果)。 |
1.扩展阅读:Python3及pip、numpy、Matplotlib等模块的安装。
心得体会:
Python3可以默认安装和自定义安装,可以根据需求自己选择;
pip是一个安装和管理Python包的工具,是easy_install的一个替换品;
检验numpy是否成功安装的方法:在python命令行输入import numpy as np将不再报错;
Matplotlib 是一个Python的 2D绘图库,它以各种硬拷贝格式和跨平台的交互式环境生成出版质量级别的图形,通过 Matplotlib,开发者可以仅需要几行代码,便可以生成绘图,直方图,功率谱,条形图,错误图,散点图等。
NumPy是Python的一种开源的数值计算扩展。这种工具可用来存储和处理大型矩阵,比Python自身的嵌套列表(nested list structure)结构要高效的多(该结构也可以用来表示矩阵(matrix))。NumPy(Numeric Python)提供了许多高级的数值编程工具,如:矩阵数据类型、矢量处理,以及精密的运算库。专为进行严格的数字处理而产生。多为很多大型金融公司使用,以及核心的科学计算组织如:Lawrence Livermore,NASA用其处理一些本来使用C++,Fortran或Matlab等所做的任务。
实训一:
1.训练要点
(1)掌握Nuympy的数组的创建及随机数的生成。
(2)掌握Nuympy中用于统计分析的基本运算函数。
2.需求说明
Numpy数组在数值运算方面的效率优于python提供的list,所以灵活掌握numpy中数组的创建以及基础的运算是有必要的。
3.实现思路及步骤
(1)创建一个数值范围为0~1,间隔为0.01的数组。
(2)创建100个服从正态分布的随机数。
(3)对创建的两个数组进行四则运算。
(4)对创建的随机数组进行简单的统计分析。
4.代码
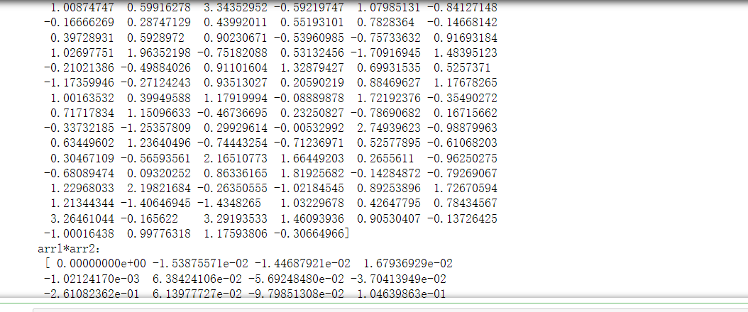
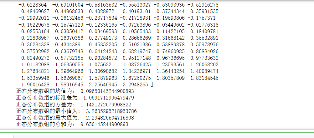
import numpy as np #1、创建一个数值范围为0~1,间隔为0.01的数组 arr1=np.arange(0,1,0.01) print("arange函数创建的数值范围为0~1间隔为0.01的数组arr1为:\n",arr1) #2、创建由100个服从正态分布的随机数构成的数组 arr2=np.random.randn(100) print('生成的随机数组arr2为:\n',arr2) #3、对创建的两个数组进行四则运算 print('arr1 + arr2:\n',arr1+arr2) print('arrl-arr2:\n',arr1-arr2) print('arrl*arr2:\n',arr1*arr2) print('arrl/arr2:\n',arr1/arr2) #print('arrl**arr2:\n',arr1**arr2) #4、对创建的数组进行简单的统计分析 print('正态分布数数组的累计和为:\n',np.cumsum(arr2))#计算所有元素的累计和 print('正态分布数去重后的值组为:\n',np.unique(arr2))#去除重复值 print('正态分布数组的均值为:',np.mean(arr2))#计算数组均值 print('正态分布数组的标准差为:',np.std(arr2))#计算数组标准差 print('正态分布数组的方差为:',np.var(arr2))#计算数组方差 print('正态分布数组的最小值为:',np.min(arr2))#计算最小值 print('正态分布数组的最大值为:',np.max(arr2))#计算最大值 print('正态分布数组的总和为:',np.sum(arr2))#计算数组总和
5.截图




实训二
1.训练要点
(1)掌握矩阵创建方法。
(2)掌握数组索引的方法。
2.需求说明
创建国际象棋棋盘,填充8x8矩阵。国际象棋棋盘是个正方形,由横纵向8格、颜色一深一浅交错排列的64个小方格组成,深色格为黑格,浅色格为白格,棋子就在这些格子中移动,如图2-3所示。

3.实验思路及步骤
(1)创建一个8×8矩阵。
(2)把1、3、5、7行和2、4、6列的元素设置为1。
4.运行代码
import numpy as np matr1=np.ones((8,8)) for i in range(8): for j in range(8): if(i+j)%2==0: matr1[i,j]=0 print('国际棋盘对应的矩阵为:\n',matr1) for i in range(0,8): for j in range(0,8): if matr1[i,j]==0: print("□",end=' ') else: print("■", end=' ') print('\n')
5.截图


浙公网安备 33010602011771号