加密评估技术
1.图像像素相关性
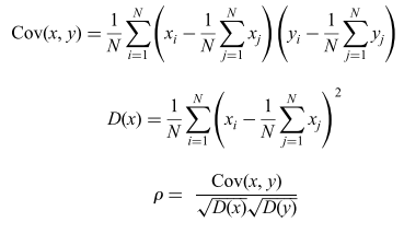
图像像素彼此高度相关,因此,加密目标之一是使水平,垂直和对角线像素的相关系数非常小。使用以下公式计算两个像素x和y之间的相关系数 (ρ)

2.差异攻击
差分攻击研究输入明文图像和输出加密图像之间的统计特征,以推断在更改输入时任何有意义的关系,同时观察输出以揭示加密算法。 强大的加密系统应该对产生完全不同输出的输入的微小变化敏感。 在数量上,定义了不同的措施来评估针对不同攻击的保护级别。
平均绝对误差(MAE)衡量加密图像 E 和源图像 P 之间的绝对变化。令 W 和 H 分别为源图像的宽度和高度,

像素数变化率 (The number of pixels change rate,NPCR) 用于测量两个加密图像之间不同像素的百分比,其对应的两个原始图像除了只有一个像素差异之外是相同的,并且使用

其中 E1 是来自原始图像的加密图像,E2 是来自与原始图像相比有一个像素变化的图像的加密图像。
统一平均变化强度(The unified average changing intensity,UACI)测量两个加密图像之间差异的平均强度,前提是它们对应的两个原始图像除了只有一个像素差异外是相同的,计算公式为

3.NIST统计测试套件
NIST SP-800-22 统计测试套件被用作验证每个加密块效果的参考。该测试套件是一组 15 种不同的测试,旨在评估一组比特的随机特性。这些位可以是随机数生成器的输出或加密图像的像素。第二个场景中的 NIST 测试检查加密技术的有效性,显示加密图像与随机噪声的相似程度。结果由 P 值分布 (P-value distribution,PV) 的有效性和通过序列的比例 (proportion of passing sequences,PP) 表示。
4.均方误差Mean square error (MSE)
MSE 测试测量错误的解密图像与原始图像的失真程度,计算如下

其中W和H分别是图像的宽度和高度,P(i,j)是原始图像像素值,D(i,j)是对应的错误解密图像像素值。
5.熵分析
熵是随机源可预测性的度量。由于相邻像素之间的高度相关性,图像数据是可预测的,因此具有低熵。
另一方面,加密图像数据应显示为随机噪声,以避免任何信息泄漏。 对于产生 2的8次方个等概率符号且每个符号长 8 位的二进制源,该源的熵定义为

对于熵值为8,此来源被认为是不可预测的。

浙公网安备 33010602011771号