相机自动对焦_Laplace算法理论详解_以及与运动控制的结合
本文会详细介绍相机自动对焦的算法,即判别图像清晰度的图像处理算法_Laplace算法理论解析,以及阐述如何与运动控制结合进行实时确认相机焦距。
开发不易,因此本文并未给出源代码,有需要的请单独私聊。
首先,我们需要明确的是,为了确认相机的最佳焦距,相机的视野范围内必须是有足够的灰度差。
如果灰度差基本没有,比如说一张白纸放在视野内,相机是对不了焦距的。
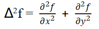
所以基于灰度差,我们知道连续变化的黑白过度期间其一阶微分变化很小,并且一阶微分并不具有很高的灵敏度,所以对黑白过度期间的求二阶微分是一种更好的选择。但是图像一般分为 x 和 y 方向,所以对边缘的两个方向求二阶偏微分 ,是一个更好的选择。
即:


时间不够了,我直接上教科书里的原理吧。
OpenCV和Halcon都有拉普拉斯的算子,大家可以看下。
另外,关于程序具体实现细节,我讲解下:
程序分为两个线程:
第一个是相机连续不断的拍照,并进行拉普拉斯运算,求拉普拉斯图像的灰度方差,此值正是可以确认图像清晰度,若值越大,则图像就会更清晰。
第二个是运控程序,我把相机的焦距放在相机轴的行程之内,因此程序必须将相机轴运动完成,然后视觉处理的拉普拉斯的结果和当前一一对应的轴位置都会被记录下到一个数据结构中。
稍微透漏下,我用的数据结构是字典。




以下是程序的最终结果,轴会自动回到最佳焦距位置。

浙公网安备 33010602011771号