第一章 引论
1.1 什么是反馈
动态系统:一种随着时间而变化行为的系统,其目的是对外界的激励和作用力进行响应
反馈系统:有两个或多个的动态系统互联在一起,彼此相互影响。
反馈(原理):利用期望值和实际值的误差来进行矫正操作
1.2 什么是控制
本书中,控制被定义为在工程系统中对算法和反馈的运用。
控制依赖于1.动态分析与建模 2.计算机技术 3.数学算法研究
1.3 控制实例
1.4 反馈特性
1.4.1 鲁棒性和不确定性
鲁棒性:系统发生了某种影响被控对象的变化,我们便先感知这种变化,随后使系统回到期望的运行点。(简单说就是反馈能够使系统对外界的干扰和内部单个原件的变化不敏感)
1.4.2 动态特性的设计
利用反馈,可以使响应慢的系统响应快,不稳定的系统变得稳定,即改变一个系统的动态特性。
对器件的动态特性进行设计还可以提高整个系统设计的模块化程度
1.4.3 高级自动控制
反馈应用的主流趋势是高级的态势感知和决策制定。不仅包括逻辑分支算法,还包括优化,自适应,学习,以及更高级的抽象推理。(如无人驾驶汽车)
1.4.4 反馈的缺点
1.设计不当的话会造成不稳定性.
2.会将测量噪声注入系统,所以需要滤波。
3.向一个产品中嵌入一个控制系统的复杂性。
1.4.5 前馈
在干扰进入系统前便开始测量,在干扰影响系统前就对其进行矫正操作。
1.4.6 正反馈
负反馈以减少干扰为目的被动地应对干扰。而正反馈虽然会造成失稳现象,但是生物系统领域常用,目的是快速达到目标值(如神经介质中传递信号)
1.5 简单形式的反馈
1.5.1 通断控制

非常简单的控制,误差大于0便输出最大制动命令,误差(期望值与实际值之差)小于零便输出最小制动命令。
在误差为0时,上式没有意义,所以加入死区这一概念,图中还提到的滞环控制我只知道是非线性控制中的一种,日后遇到了再进行学习。

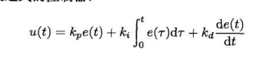
1.5.2 PID控制

简单的例子帮助理解(这例子也是我百度得来)
浴缸里有0l水,现在设计一个放水的系统,我们最终的目标是10l水。现在的误差是10l水,每次加多少升水比较合适呢,若是没有加水次数的限制(采样时间),当然可以加很少的水一点点加。但现实生活中都会对采样时间有所要求,此时引入比例系数kp,假设为0.5,那么第一次加水5l,第二次2.5l,第三次1.25l。可以看到你永远都会有误差,当误差小到一定程度时可以忽略不记,这个误差就叫暂态误差。
此时有人非常坏,将浴缸砸了一个孔,这个孔在每次采样的间隔中会漏掉1.25l水,很明显,若不进行任何处理,浴缸里的水将永远是1.25,这个误差称为稳态误差l。这时我们引入积分系数,对之前加过的水进行相加后(在连续时间中即是积分)乘以系数,这将消除稳态误差。
若是当你加满10l水,有人突然又加了5l水进去,当然凭借比例项以及积分项迟早也能将水位恢复10l,但加入微分项能更快的使其复原,也就是说能减少系统控制过程中的震荡。
我们可以说,比例是现在,积分是过去,微分是未来。控制之美在这里瞬间体现了出来。
课后练习1.5需做

浙公网安备 33010602011771号