朴素贝叶斯的拉普拉斯平滑
我们再来一个例子,假如此时另外一对情侣,这对情侣中,男生的四个特征是,长相帅,性格爆好,身高高,上进,那么他的女朋友嫁还是不嫁呢?可能又会有小伙伴说这是一道送分题,是不是,我们下面用事实说话!
下面通过例子来引出拉普拉斯平滑过程!
还是下面的训练数据:

四个特征集合分别长相{帅,不帅}、性格{爆好,好,不好}、身高{高,中,矮}、上进与否{上进,不上进}
我们此时要求出该男生在四个特征分别是长相帅,性格爆好,身高高,上进的情况下,他对应的嫁与不嫁的概率谁大谁小,从而得出结论!
也就是要比较p(嫁|长相帅,性格爆好,身高高,上进)与p(不嫁|长相帅,性格爆好,身高高,上进)的概率大小。
按照朴素贝叶斯算法公式,我们可以得到如下公式:


由于俩者的分母都是p(长相帅)、p(性格爆好)、p(身高高)、p(上进),那么我们可以不算分母,比较的时候只比较俩个公式分子大小即可。
好的,下面我们开始计算,先计算在四个特征的条件下,嫁的概率。
我们需要分别计算p(性格爆好|嫁)、p(长相帅|嫁)、p(身高高|嫁)、p(上进|嫁)
首先我们来算p(性格爆好|嫁)=?我们观察训练数据,发现如下:

居然没有一个数据有爆好这个特点的,那么p(性格爆好|嫁) = 0,那么我们可以看出问题了,根据公式:

我们最后的p(嫁|长相帅、性格爆好、身高高、上进)由于一项p(性格爆好|嫁)为0,而造成整个概率为0,这显然是错误的。
而这个错误的造成是由于训练量不足,会令分类器质量大大降低。为了解决这个问题,我们引入Laplace校准(这就引出了我们的拉普拉斯平滑),它的思想非常简单,就是对每个类别下所有划分的计数加1,这样如果训练样本集数量充分大时,并不会对结果产生影响,并且解决了上述频率为0的尴尬局面。
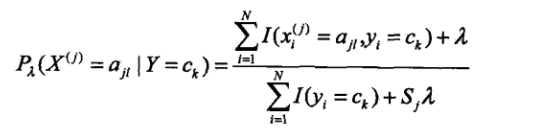
引入拉普拉斯平滑的公式如下:


其中ajl,代表第j个特征的第l个选择,代表第j个特征的个数,K代表种类的个数。
为1,这也很好理解,加入拉普拉斯平滑之后,避免了出现概率为0的情况,又保证了每个值都在0到1的范围内,又保证了最终和为1的概率性质!
我们可以通过下面例子更加深刻的理解这个公式:(现在我们是加入拉普拉斯平滑)
加入拉普拉斯平滑后
我们先需要分别计算p(性格爆好|嫁)、p(长相帅|嫁)、p(身高高|嫁)、p(上进|嫁),p(嫁)
p(性格爆好|嫁)=?统计满足要求的如下面红色部分

没有一个满足是性格爆好的条件,但是此时概率不为0,按照加入拉普拉斯平滑后的公式:
性格特征的个数为爆好,好,不好,三种情况,那么为3,则最终概率为1/9 (嫁的个数为6+特征个数为3)
p(长相帅|嫁)=?统计满足条件的如下面红色部分:

由上图可知满足要求的为3个,按照加入拉普拉斯平滑后的公式:
长相特征的个数为帅,不帅,俩种情况,那么为2,则最终概率p(长相帅|嫁)为4/8 (嫁的个数为6+特征个数为2)
p(身高高|嫁) = ?统计满足条件的如下面红色部分:

由上图可知满足要求的为3个,按照加入拉普拉斯平滑后的公式:
身高特征的个数为高,中,矮情况,那么为3,则最终概率p(身高高|嫁)为4/9 (嫁的个数为6+特征个数为3)
p(上进|嫁)=?统计满足要求的如下面红色部分:

由上图可知满足要求的为5个,按照加入拉普拉斯平滑后的公式:
上进特征的个数为上进,不上进情况,那么为2,则最终概率p(上进|嫁)为6/8 (嫁的个数为6+特征个数为2)
p(嫁) = ?满足要求的如下红色标注:

由上图可知满足要求的为6个,按照加入拉普拉斯平滑后的公式:
种类的个数为嫁,不嫁情况,那么K为2,则最终概率p(嫁)为7/14 = 1/2 (嫁的个数为6+种类个数为2)
到这里为止,我们已经算出了在该男生条件下,嫁的概率为:
p(嫁|长相帅、性格爆好、身高高、上进) = 1/9*4/8*4/9*6/8*1/2
下面我们需要算出p(不嫁|长相帅、性格爆好、身高高、上进)的概率,然后与上面的数值进行比较即可,算法与上面完全一模一样!这里也走一遍。
我们需要估计出p(长相帅|不嫁)、p(性格爆好|不嫁)、p(身高高|不嫁)、p(上进|不嫁),p(不嫁)的概率分别为多少。
p(长相帅|不嫁)=?满足要求如下面红色标注:

由上图可知满足要求的为5个,按照加入拉普拉斯平滑后的公式:
长相帅特征的个数为不帅,帅情况,那么为2,则最终概率p(长相不帅|不嫁)为6/8 (不嫁的个数为6+特征个数为2)
p(性格爆好|不嫁)=?满足要求如下面红色标注:

没有一个满足是性格爆好的条件,但是此时概率不为0,按照加入拉普拉斯平滑后的公式:
性格特征的个数为爆好,好,不好,三种情况,那么为3,则最终概率p(性格爆好|不嫁)为1/9 (不嫁的个数为6+特征个数为3)
p(身高高|不嫁)=?满足要求如下面红色标注:

没有一个满足是身高高的条件,但是此时概率不为0,按照加入拉普拉斯平滑后的公式:
身高特征的个数为高,中,矮,三种情况,那么为3,则最终概率p(身高高|不嫁)为1/9 (不嫁的个数为6+特征个数为3)
p(上进|不嫁)=?满足要求如下面红色标注:

由上图可知满足要求的为3个,按照加入拉普拉斯平滑后的公式:
上进特征的个数为上进,不上进情况,那么为2,则最终概率p(上进|不嫁)为4/8 (不嫁的个数为6+特征个数为2)
p(不嫁)=?满足要求的如红色标注:

由上图可知满足要求的为6个,按照加入拉普拉斯平滑后的公式:
种类的个数为嫁,不嫁情况,那么K为2,则最终概率p(不嫁)为7/14 = 1/2 (不嫁的个数为6+种类个数为2)
到这里为止,我们已经算出了在该男生条件下,不嫁的概率为:
p(不嫁|长相帅、性格爆好、身高高、上进) = 5/8*1/9*1/9*3/8*1/2
结论
于是我们可以得到
p(嫁|长相帅、性格爆好、身高高、上进) = 1/9*4/8*4/9*6/8*1/2 > p(不嫁|长相帅、性格爆好、身高高、上进) = 6/8*1/9*1/9*4/8*1/2
于是我们可以大胆的告诉女生,这样的好男人,贝叶斯告诉你了,该嫁!!!
这就是我们使用拉普拉斯平滑后计算的整个算法过程!
希望对大家的理解有帮助~欢迎大家指错交流!
浙公网安备 33010602011771号