408笔记--树基础
树的定义:
树是n个节点(n≥0)的有限集,n=0称为空树。在任意一个非空树中,有且只有一个根节点,其余节点可以分为m个互不相交的有限集,并且每一个集合本身又是一棵树称为根的子树。
节点的分类:
节点拥有的子树数量称为节点的度。度为0的节点称为叶子结点,度不为0的节点称为分支节点,除根节点外的分支节点又称为内部节点。树的度是树内各个节点度的最大值。
节点的关系:
节点子树的根称为该节点的孩子,该节点称为孩子节点的双亲也叫父节点,拥有同一个父节点的孩子之间称为兄弟节点。节点的祖先便是从根到该节点分支上的所有节点。以某节点为根的
子树上的所有的点称为该节点的子孙。
森林的定义:
森林是m(m≥0)个互不相交的树的集合。
二叉树的定义:
二叉树(Binary Tree)是n(n≥0)个结点的有限集合,该集合或者为空集(称为空二叉树),或者由一个根结点和两棵互不相交的、分别称为根结点的左子树和右子树的二叉树组成。
特殊的二叉树:1.斜树:树中每个节点仅有左子树或者仅有右子树。
2.满二叉树:所有分支节点均有左子树和右子树,且所有叶子节点均在同一层上。
3.完全二叉树:按层对该二叉树进行编号,若该二叉树所有的编号与满二叉树相同便可称为完全二叉树。

完全二叉树
完全二叉树的性质:
(1)叶子结点只能出现在最下两层。
(2)最下层的叶子一定集中在左部连续位置。
(3)倒数二层,若有叶子结点,一定都在右部连续位置。
(4)如果结点度为1,则该结点只有左孩子,即不存在只有右子树的情况。
(5)同样结点数的二叉树,完全二叉树的深度最小。
- 二叉树的遍历
二叉树的遍历(traversing binary tree)是指从根结点出发,按照某种次序依次访问二叉树中所有结点,使得每个结点被访问一次且仅被访问一次。
其实是根据根节点遍历前后来定义,先访问根节点则是前序遍历,在左右子树中间访问则是中序遍历,最后访问则是后序遍历。
1.前序遍历(根-左-右)
规则是若二叉树为空,则空操作返回,否则先访问根结点,然后前序遍历左子树,再前序遍历右子树。

void PreOrder(Tree* x){
if(x==NULL)return;
cout<<x->data;
PreOrder(x->left);
PreOrder(x->right);
}
2.中序遍历(左-根-右)

void PreOrder(Tree* x){ if(x==NULL)return; PreOrder(x->left); cout<<x->data; PreOrder(x->right); }
3.后序遍历(左-右-根)

void PreOrder(Tree* x){ if(x==NULL)return; PreOrder(x->left); PreOrder(x->right); cout<<x->data; }
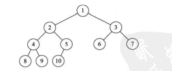
4.层序遍历
规则是若树为空,则空操作返回,否则从树的第一层,也就是根结点开始访问,从上而下逐层遍历,在同一层中,按从左到右的顺序对结点逐个访问。如图6-8-5所示,遍历的顺序为:ABCDEFGHI。
推导遍历结果:
由前序遍历和中序遍历推导后序遍历。已知一个二叉树的前序遍历为ABCDEF,中序遍历为CBAEDF,求后序遍历。
由前序遍历可知根节点为A(前序遍历根在第一个),再到中序遍历中找到A,可知左子树为CB,右子树为EDF。如图

再到前序遍历中找到CB的一种排列为BC,由于B在第一个可知左子树的根节点为B,儿子节点为C。以此类推可知右子树的根节点为D,左右叶子分别为E,F。

类似的也可以由后序遍历和中序遍历推出前序遍历,只不过后序遍历的根节点为最后一个。
但是需要注意的是由前序遍历和后续遍历不能唯一确定一棵二叉树。
- 线索二叉树
我们想要遍历一棵普通的二叉树必须要从根节点开始向下遍历,如果给我们一个叶子节点的指针,我们并不能成功地以某种顺序遍历一整棵二叉树,因为普通的二叉树只有指向左右儿子节点的指针。
那么有没有办法让我们能从任意一个节点开始,以某种顺序成功遍历一整棵二叉树呢?
有。那就是线索二叉树。
线索二叉树又分为三种类型,分别是前序线索二叉树,中序线索二叉树,后序线索二叉树。
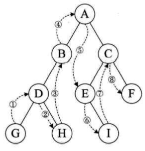
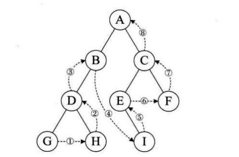
以下图的二叉树建立中序线索二叉树为例。

这个二叉树的中序排列为DGBEAFC。对于G节点,在中序排列中,它的前驱是D,后继是B。因为它是一个叶子节点,既没有左子树也没有右子树,所以我们可以考虑将它的左孩子指向它的前驱D,
右孩子指向它的后继B。这样当我们有了一个指向G节点的指针,便能通过前驱找到它在中序排列中的上一个节点,通过后继找到它在中序排列中的下一个节点。
同时为了区分一个节点它的左右孩子指针是指向前驱后继还是真正的左右孩子,我们可以在储存节点的结构体中加入两个标志变量ltag和rtag。当等于0时代表指向真正的左右孩子,等于1时代表指向前驱或者后继。
构建线索二叉树需要将二叉树中序遍历一遍,下面是代码。
struct node { int ltag, rtag, value; struct node *lchild, *rchild; }; node* pre;//pre记录上一个遍历的节点,即前驱 void InTreading(node* p) { if (p != nullptr) { InTreading(p->lchild);//中序遍历先遍历左子树 if (p->lchild == nullptr) { p->lchild = pre;//左子树变为前驱 p->ltag = 1;//标志指向前驱 } if (pre->rchild == nullptr) { pre->rchild = p;//上一个节点的后继就是当前节点 pre->rtag = 1; } pre = p;//记录当前节点 InTreading(p->rchild); } }

浙公网安备 33010602011771号