会员
众包
新闻
博问
闪存
赞助商
HarmonyOS
Chat2DB
所有博客
当前博客
我的博客
我的园子
账号设置
会员中心
简洁模式
...
退出登录
注册
登录
reaibiancheng
博客园
首页
新随笔
联系
订阅
管理
数值分析
高斯消去法例题
1、
2、
3、
列主元高斯消去法例题
直接三角法
雅可比迭代法
求对角矩阵的逆矩阵
求特征多项式
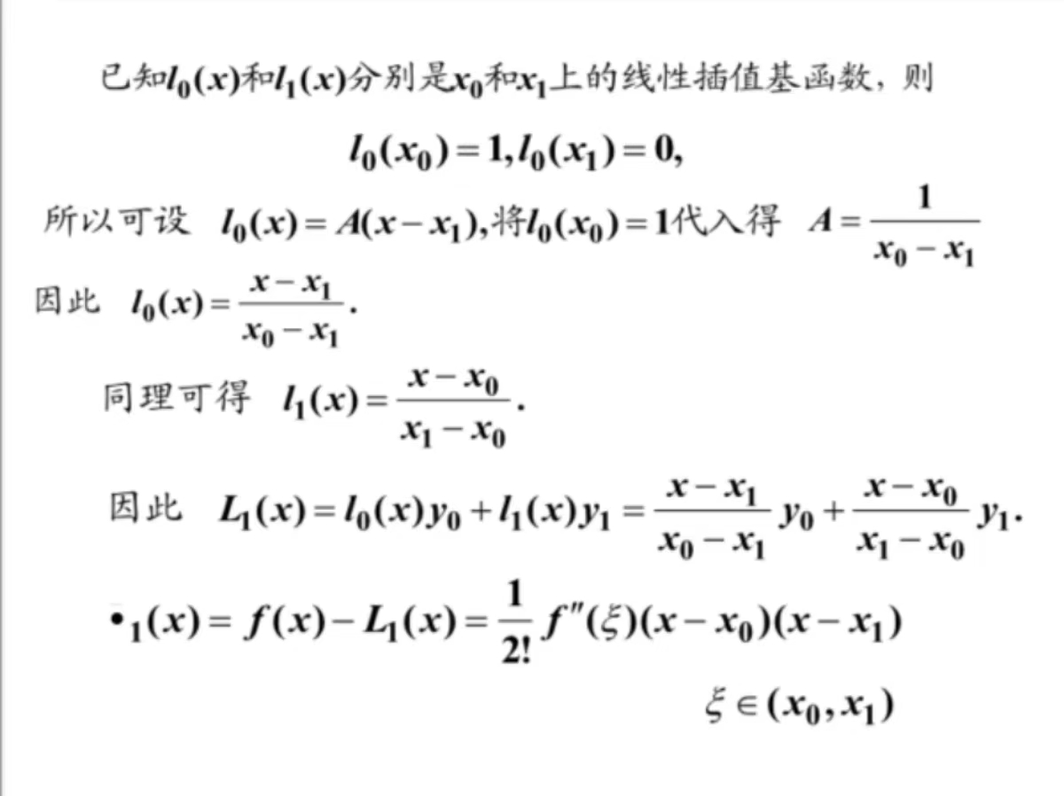
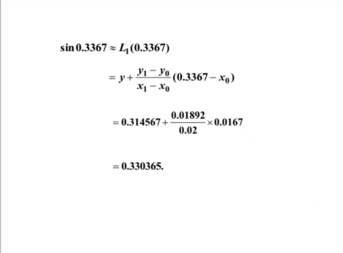
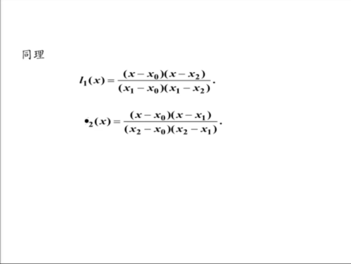
拉格朗日插值
posted @
2022-11-09 11:33
꧁༺ཌ仨下花果山ད༻꧂
阅读(
391
) 评论(
0
)
收藏
举报
刷新页面
返回顶部
公告