6.支持向量机
1. 线性可分支持向量机
线性可分支持向量机(Linearly Separable Support Vector Machine)是支持向量机中的一种特例,用于解决线性可分的分类问题。它的目标是找到一个超平面,将不同类别的数据点分隔开,同时最大化分类的间隔。
首先,我们来定义线性可分的SVM的目标函数,通常称为硬间隔支持向量机问题。给定一个训练数据集 \({(x_i, y_i)}\),其中 \(x_i\) 是输入特征向量,\(y_i\) 是类别标签(\(y_i \in \{-1, 1\}\))。我们的目标是找到一个超平面的法向量 \(w\) 和截距 \(b\),使得以下不等式对于所有训练样本成立:\(y_i(w \cdot x_i - b) \geq 1\)
线性可分支持向量机的最优化问题公式如下:
这里,\(w \cdot x_i\) 表示内积操作,\(w \cdot x_i = \sum_{j=1}^{n} w_j x_{ij}\),其中 \(n\) 是特征向量的维度。不等式 \(y_i(w \cdot x_i - b) \geq 1\) 表示所有样本点都远离超平面,并且分类没有错误。
为了形式化这一目标,我们可以定义一个拉格朗日乘子 \(\alpha_i\) 来表示每个不等式约束。然后,我们可以构建拉格朗日函数 \(L(w, b, \alpha)\),如下所示:
接下来,我们可以通过最大化拉格朗日函数 \(L(w, b, \alpha)\) 来解决问题。为了最大化 \(L(w, b, \alpha)\),需要满足以下条件:
求解 \(\max_{\alpha} L(w, b, \alpha)\)。
通过等式约束 \(\sum_{i=1}^{m} \alpha_i y_i = 0\) 来满足 \(\alpha_i\) 的限制。
最终,通过最大化 \(L(w, b, \alpha)\) 得到 \(\alpha^*\),然后可以使用以下公式计算法向量 \(w\):
并计算截距 \(b\):
其中 \(x_j\) 是支持向量(满足 \(\alpha_j^* > 0\) 的样本)。这样,我们就可以获得分隔超平面的法向量 \(w\) 和截距 \(b\),从而完成了线性可分支持向量机的训练。
2. 软间隔最大化
异常点会导致数据线性不可分,即意味着某些样本点不能满足函数间隔大于等于1的约束条件,为了解决该问题可以对每个样本点\({(x_i, y_i)}\)引进一个松弛变量\(\xi _i > 0\),使得函数间隔加上松弛变量大于等于1,因此约束条件将变成$$y_i(w \cdot x_i - b) \geq 1-\xi _i $$
相比较硬间隔最大化,可以看到样本到分离超平面的函数距离要求放松了,之前一定要大于等于1,现在只需要加上一个大于等于0的松弛变量大于等于1即可。同时,每个松弛变量\(\xi _i > 0\)对应一个代价\(\xi _i > 0\),则目标函数变成了
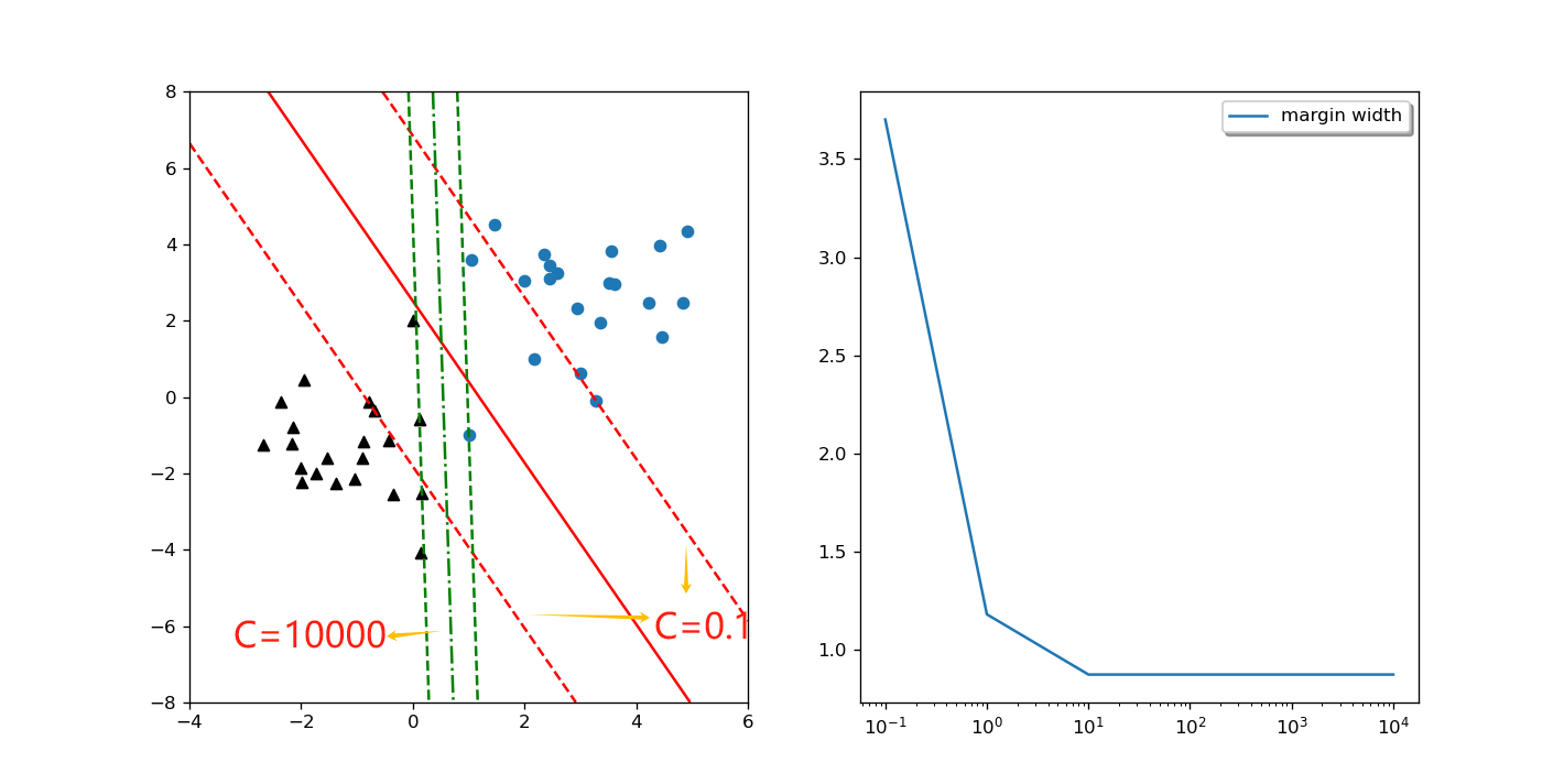
其中\(C>0\)称为惩罚参数,C值越大,对误分类样本惩罚越大,即间隔宽度越小,C值越小,对误分类样本惩罚越小,即间隔宽度越大。

3. 核函数
核函数找到一个非线性的空间变换\(\phi\),将数据转换为\(\{\phi(X_i),y_i\}\),再找两者的关系,与神经网络里的隐藏层类似

浙公网安备 33010602011771号