2020HDU多校第六场By Rynar 6827-6837
1005.Fragrant numbers
思路:区间dp,数据量只有5000,也可以打表
#include<bits/stdc++.h>
using namespace std;
typedef long long ll;
#define int ll
const int N=5000+20;
const int mod=998244353;
int dp[20][20][N];
int ans[N];
signed main(){
string s="011451419191145141919";
for (int i=1;i<13;i++){
int tmp=0;
for (int j=i;j<=15;j++){
tmp=tmp*10+s[j]-'0';
if (tmp>5000)break;
dp[i][j][tmp]=1;
}
}
for (int len=1;len<13;len++){//长度
for (int i=1;i<13-len;i++){//左边界
for (int j=i;j<i+len;j++){//中间点
for (int l=1;l<=5000;l++){
if (!dp[i][j][l])continue;
for (int r=1;r<=5000;r++){
if (!dp[j+1][i+len][r])continue;
if (l+r<=5000)dp[i][i+len][l+r]=1;
if (l*r<=5000)dp[i][i+len][l*r]=1;
}
}
}
}
}
for (int i=1;i<=13;i++){
for (int j=1;j<=5000;j++){
if (dp[1][i][j]&&!ans[j])ans[j]=i;
}
}
int T,n;
scanf("%d",&T);
while (T--){
scanf("%d",&n);
printf("%d\n",ans[n]?ans[n]:-1);
}
return 0;
}
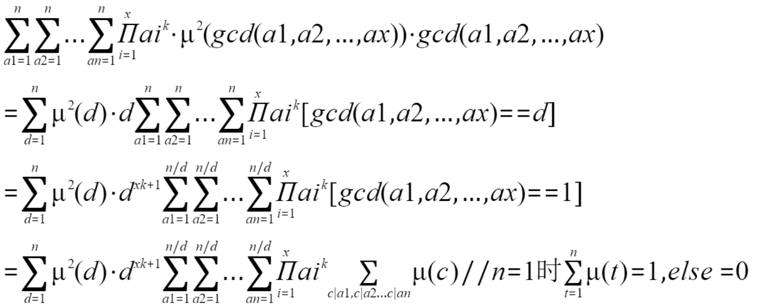
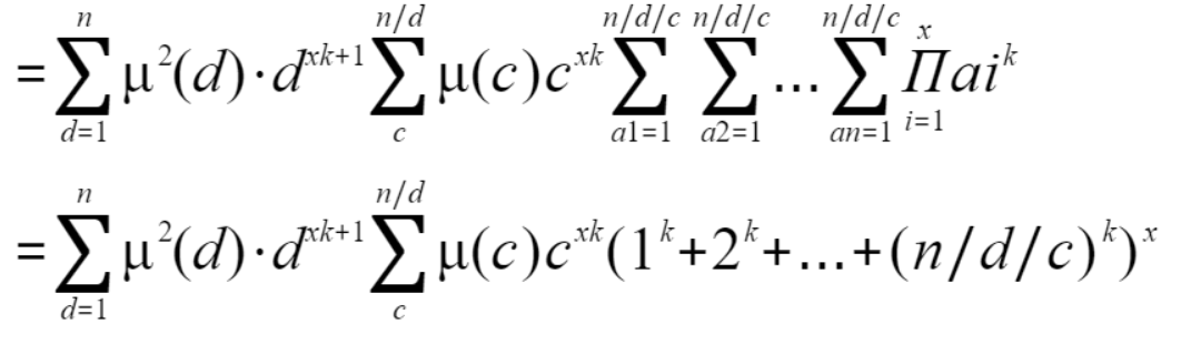
1007.A Very Easy Math Problem
思路:
莫比乌斯反演


数论分块+数论分块 该做法O(nlogn+T*n^3/4)
也可继续化简 令T=cd

后面部分为积性函数,可由线性筛筛出
O(nlogn+Tn^1/2)
//O(nlogn+T*n\^3/4)
typedef long long ll;
const int N=2e5+10;
const int mod=1e9+7;
#define int ll
int n,m,k,x;
int dp[N];
int s[N],sc[N],sd[N];
int mu[N],vis[N],prim[N];
int qpow(int x,int y){
int ans=1;
while (y){
if (y&1)ans=ans*x%mod;
y>>=1;x=x*x%mod;
}
return ans;
}
void get_mu(int n){
int cnt=0;
mu[1]=1;
for(int i=2;i<=n;i++){
if(!vis[i]){prim[++cnt]=i;mu[i]=-1;}
for(int j=1;j<=cnt&&prim[j]*i<=n;j++){
vis[prim[j]*i]=1;
if(i%prim[j]==0)break;
else mu[i*prim[j]]=-mu[i];
}
}
}
int calc(int n){
if(dp[n]!=-1)return dp[n];
int ans=0;
for(int l=1,r;l<=n;l=r+1){
r=min(n,n/(n/l));
(ans+=(sc[r]-sc[l-1])*s[n/l])%=mod;
}
return dp[n]=(ans+mod)%mod;
}
int calc2(int n){
int ans=0;
for(int l=1,r;l<=n;l=r+1){
r=min(n,n/(n/l));
(ans+=(sd[r]-sd[l-1])*calc(n/l))%=mod;
}
return (ans+mod)%mod;
}
signed main(){
int T;
memset(dp,-1,sizeof dp);
scanf("%lld%lld%lld",&T,&k,&x);
get_mu(N-1);
for (int i=1;i<N;i++)(s[i]=s[i-1]+qpow(i,k))%=mod;
for (int i=1;i<N;i++)s[i]=qpow(s[i],x);
for (int i=1;i<N;i++)(sc[i]=sc[i-1]+mu[i]*qpow(i,k*x%(mod-1)))%=mod;
for (int i=1;i<N;i++)(sd[i]=sd[i-1]+qpow(i,(x*k+1)%(mod-1))*mu[i]*mu[i])%=mod;
while (T--){
scanf("%lld",&n);
printf("%lld\n",calc2(n));
}
return 0;
}
//O(nlogn+Tn\^1/2)
typedef long long ll;
const int N=2e5+10;
const int mod=1e9+7;
#define int ll
int n,m,k,x;
int f[N],s[N];
bitset<N>vis;
int prim[N];
int qpow(int x,int y){
ll ans=1;
while (y){
if (y&1)ans=ans*x%mod;
y>>=1;x=1ll*x*x%mod;
}
return ans;
}
void get_mu(int n){
int cnt=0;
f[1]=1;
for(int i=2;i<=n;i++){
if(!vis[i]){prim[++cnt]=i;f[i]=i-1;}
for(int j=1;j<=cnt&&prim[j]*i<=n;j++){
vis[prim[j]*i]=1;
if(i%prim[j]==0){
if(i/prim[j]%prim[j]!=0){
f[i*prim[j]]=-prim[j]*f[i/prim[j]]%mod;
}
break;
}
else f[i*prim[j]]=f[i]*f[prim[j]]%mod;
}
}
int sum=0;
for (int i=1;i<N;i++){
sum=(sum+qpow(i,k))%mod;
s[i]=qpow(sum,x);
f[i]=f[i]*qpow(i,k*x)%mod;
}
for (int i=1;i<N;i++){
f[i]=(f[i]+f[i-1])%mod;
}
}
signed main(){
int T;
scanf("%lld%lld%lld",&T,&k,&x);
get_mu(N-1);
while (T--){
scanf("%lld",&n);
int ans=0;
for (int l=1,r;l<=n;l=r+1){
r=n/(n/l);
(ans+=(f[r]-f[l-1])*s[n/l]%mod)%=mod;
}
printf("%lld\n",(ans+mod)%mod);
}
return 0;
}
1010.Expectation
思路:把边拆成30个bit位,对每个bit位存在的边组成的图进行求图生成树个数*bit位的权值,再除以整个图的生成树个数
typedef long long ll;
const int N=100+10;
const int mod=998244353;
#define int ll
int n,m;
int K[N][N];
int x[N*N],y[N*N],z[N*N];
int gauss(int n){//高斯消元求图的生成树个数
int res=1;
for(int i=1;i<=n-1;i++){//枚举主对角线上第i个元素
for(int j=i+1;j<=n-1;j++){//枚举剩下的行
while(K[j][i]){//辗转相除
int t=K[i][i]/K[j][i];
for(int k=i;k<=n-1;k++)//转为倒三角
K[i][k]=(K[i][k]-t*K[j][k]+mod)%mod;
swap(K[i],K[j]);//交换i、j两行
res=-res;//取负
}
}
res=(res*K[i][i])%mod;
}
return (res+mod)%mod;
}
int build(int p){
for (int i=1;i<=n;i++){
for (int j=1;j<=n;j++){
K[i][j]=0;
}
}
for (int i=1;i<=m;i++){//度数矩阵-边矩阵
if (z[i]&p){
K[x[i]][x[i]]++;
K[y[i]][y[i]]++;
K[x[i]][y[i]]--;
K[y[i]][x[i]]--;
}
}
return gauss(n)*p%mod;
}
int bu(){
for (int i=1;i<=n;i++){
for (int j=1;j<=n;j++){
K[i][j]=0;
}
}
for (int i=1;i<=m;i++){
K[x[i]][x[i]]++;
K[y[i]][y[i]]++;
K[x[i]][y[i]]--;
K[y[i]][x[i]]--;
}
return gauss(n);
}
int qpow(int x,int y){
int ans=1;
while (y){
if (y&1)ans=ans*x%mod;
y>>=1;x=x*x%mod;
}
return ans;
}
signed main(){
int T;
scanf("%lld",&T);
while (T--){
scanf("%lld%lld",&n,&m);
for (int i=1;i<=m;i++){
scanf("%lld%lld%lld",&x[i],&y[i],&z[i]);
}
int ans=0;
for (int i=0;i<=29;i++){
ans=(ans+build(1<<i))%mod;
}
ans=ans*qpow(bu(),mod-2)%mod;
printf("%lld\n",ans);
}
return 0;
}
禁止类似码农教程的网站爬取,抄袭博客内容。
https://www.cnblogs.com/rair/

浙公网安备 33010602011771号