2022考研408-二叉排序树
二叉排序树
定义
二叉排序树或是一棵空树,或是具有如下性质的二叉树
l 左子树若非空,则左子树所有结点的关键字必然小于根节点关键字
l 右子树若非空,则右子树所有结点的关键字必然大于根节点关键字
l 左子树和右子树均为二叉排序树
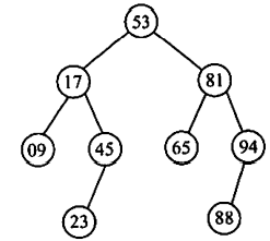
示例

二叉排序树的查找
l 若二叉排序树为空,则查找失败
l 比较结点关键字的值与给定值,若给定值更大,则查找结点的右子树
l 比较结点关键字的值与给定值,若给定值更小,则查找结点的左子树
二叉排序树的删除
这里指删除二叉排序树的某一个结点
l 若结点为叶节点,则直接删除
l 若结点的度为1,也即只有一棵子树,则用其左孩子或右孩子代替(关键字交换),再删除这个孩子
l 若结点有两个孩子,则用中序的直接前驱或直接后继将其代替(关键字交换),再删除这个这个直接前驱(左孩子的最右结点)或直接后继(右孩子的最左结点)
二叉排序树的插入
这里是指将将一个新节点插入到二叉排序树中
l 若二叉排序树为空,则直接将新节点插入
l 若新节点关键字大于当前节点的关键字,则插入右子树
l 若新节点关键字小于当前节点的关键字,则插入左子树
题目整理
001、在二叉排序树中,新插入的关键字总是处于最底层(王道模拟四-T07-Ⅲ)吗?
002、含有4个元素值均不相同的二叉排序树有_____种。答:14
003、含16个结点的平衡二叉树最大深度是___。(斐波那契:a1=1, a2=2, an=an-1+an-2+1)
答案整理
001、答:不是的,依据二叉排序树的插入规则,只有当二叉排序树为空时,新的结点才能直接插入,否则总是会通过比较转而向其某一子树插入,若从查找的角度考虑,在二叉排序树中查找新节点键值,则最后查找失败的结点即为最终新节点的位置(此时将空指针视为空结点),于是新插入的结点总是作为新二叉排序树的叶子节点,而“最底层“,反映的是二叉树中有关”层“的概念,一般根节点为第一层,第n结点的孩子均处于第n+1层。由此可见,叶节点不一定在最底层,因此新插入的关键字并不总是在最底层。

浙公网安备 33010602011771号