通过不同的遍历(前序 中序,后序 中序)构造二叉树
给定一棵树的前序遍历 preorder 与中序遍历 inorder。请构造二叉树并返回其根节点。
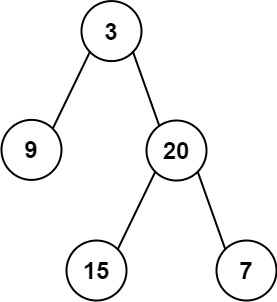
示例 1:
Input: preorder = [3,9,20,15,7], inorder = [9,3,15,20,7]
Output: [3,9,20,null,null,15,7]
示例 2:Input: preorder = [-1], inorder = [-1]
Output: [-1]
递归
思路:对于任意一颗树而言,前序遍历的形式总是
[ 根节点, [左子树的前序遍历结果], [右子树的前序遍历结果] ]
即根节点总是前序遍历中的第一个节点。而中序遍历的形式总是
[ [左子树的中序遍历结果], 根节点, [右子树的中序遍历结果] ]
只要我们在中序遍历中定位到根节点,那么我们就可以分别知道左子树和右子树中的节点数目。由于同一颗子树的前序遍历和中序遍历的长度显然是相同的,因此我们就可以对应到前序遍历的结果中,对上述形式中的所有左右括号进行定位。
这样以来,我们就知道了左子树的前序遍历和中序遍历结果,以及右子树的前序遍历和中序遍历结果,我们就可以递归地对构造出左子树和右子树,再将这两颗子树接到根节点的左右位置。
人话:
preorder第一个元素为root,在inorder里面找到root,在它之前的为左子树(长l1),之后为右子树(长l2)。preorder[1]到preorder[l1]为左子树,之后为右子树,分别递归。
细节
在中序遍历中对根节点进行定位时,一种简单的方法是直接扫描整个中序遍历的结果并找出根节点,但这样做的时间复杂度较高。我们可以考虑使用哈希表来帮助我们快速地定位根节点。对于哈希映射中的每个键值对,键表示一个元素(节点的值),值表示其在中序遍历中的出现位置。在构造二叉树的过程之前,我们可以对中序遍历的列表进行一遍扫描,就可以构造出这个哈希映射。在此后构造二叉树的过程中,我们就只需要O(1) 的时间对根节点进行定位了。
实现:python
1 class Solution: 2 def buildTree(self, preorder: List[int], inorder: List[int]) -> TreeNode: 3 def myBuildTree(preorder_left: int, preorder_right: int, inorder_left: int, inorder_right: int): 4 if preorder_left > preorder_right: 5 return None 6 7 # 前序遍历中的第一个节点就是根节点 8 preorder_root = preorder_left 9 # 在中序遍历中定位根节点 10 inorder_root = index[preorder[preorder_root]] 11 12 # 先把根节点建立出来 13 root = TreeNode(preorder[preorder_root]) 14 # 得到左子树中的节点数目 15 size_left_subtree = inorder_root - inorder_left 16 # 递归地构造左子树,并连接到根节点 17 # 先序遍历中「从 左边界+1 开始的 size_left_subtree」个元素就对应了中序遍历中「从 左边界 开始到 根节点定位-1」的元素 18 root.left = myBuildTree(preorder_left + 1, preorder_left + size_left_subtree, inorder_left, inorder_root - 1) 19 # 递归地构造右子树,并连接到根节点 20 # 先序遍历中「从 左边界+1+左子树节点数目 开始到 右边界」的元素就对应了中序遍历中「从 根节点定位+1 到 右边界」的元素 21 root.right = myBuildTree(preorder_left + size_left_subtree + 1, preorder_right, inorder_root + 1, inorder_right) 22 return root 23 24 n = len(preorder) 25 # 构造哈希映射,帮助我们快速定位根节点 26 index = {element: i for i, element in enumerate(inorder)} 27 return myBuildTree(0, n - 1, 0, n - 1)
同理:
1 class TreeNode(object): 2 def __init__(self, val=0, left=None, right=None): 3 self.val = val 4 self.left = left 5 self.right = right 6 7 8 class Solution(object): 9 def buildTree(self, inorder, postorder): 10 """ 11 :type inorder: List[int] 12 :type postorder: List[int] 13 :rtype: TreeNode 14 """ 15 16 def build(post_left, post_right, in_left, in_right): 17 if post_left > post_right: 18 return None 19 20 post_root = post_right # 4 21 in_root = mp_ind[postorder[post_root]] # 1 22 23 root = TreeNode(postorder[post_root]) 24 right_size = in_right - in_root # 3 25 root.left = build(post_left, post_right-right_size-1, in_left, in_root-1) 26 root.right = build(post_right-right_size, post_right-1, in_root+1, in_right) 27 28 return root 29 30 n = len(inorder) 31 mp_ind = {val: i for i, val in enumerate(inorder)} 32 33 return build(0, n - 1, 0, n - 1)


浙公网安备 33010602011771号