Lagrange插值法的实现——C\Java\Python
Lagrange 插值法
一、问题
对于给定的一元函数 的 个节点值 。试用Lagrange公式求其插值多项式或分段三次Lagrange插值多项式。 数据如下:
(1)
| xi |
0.4 |
0.55 |
0.65 |
0.80 |
0.95 |
1.05 |
| yi |
0.41075 |
0.57815 |
0.69675 |
0.90 |
1.00 |
1.25382 |
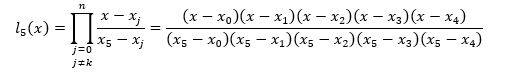
求五次Lagrange多项式L5(x) ,和分段线性插值多项式,计算f(0.96),f(0.99)

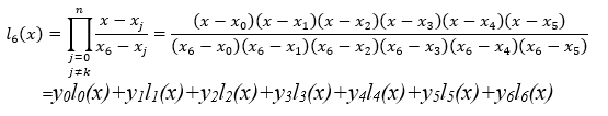
L5(x)=y0l0(x)+y1l1(x)+y2l2(x)+y3l3(x)+y4l4(x)+y5l5(x)
其中:y0=0.41075,y1=0.57815,y2=0.69675,y3=0.90,y4=1.00,y5=1.25382

f(0.96)=1.010051 ,f(0.99)=1.054230
(2)
| xi |
1 |
2 |
3 |
4 |
5 |
6 |
7 |
| yi |
0.368 |
0.135 |
0.050 |
0.018 |
0.007 |
0.002 |
0.001 |
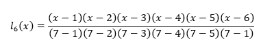
试构造Language多项式L6(x),计算f(1.8)的值.(提示:f(1.8≈0.164762)


其余与Language多项式L5(x)类似,不多重复
二、方法简介
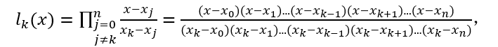
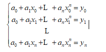
1、 利用Lagrange插值公式

编写出插值多项式程序. 上式中 为插值基函数,

它满足:

2、 给出插值多项式或分段线性插值多项式的表达式;
3、 结合解线性方程组的高斯消法,解下面的线性方程组确定多项式的系数,并对比插值所得结果的异同

C代码:
//==================================================
#include<stdio.h>
#include<stdlib.h>
#define N 6
double xi[] = {0.4, 0.55, 0.65, 0.80, 0.95, 1.05};
//全局变量
double yi[] = {0.41075, 0.57815, 0.69675, 0.90, 1.00, 1.25382};
void main()
{
double lagrange(double x);
double x, y;
FILE *file;
file = fopen("d:\\data.txt", "w");
for (x=0.4; x<=1.05; x = x + 0.01)
{
y = lagrange(x);
printf("x = %f, y = %f\n", x, y);
fprintf(file, "{%f, %f},", x, y);
}
fclose(file);
}
double lagrange(double x)
{
int j, k;
double y = 0, t, fenzi, fenmu;
for (k = 0; k <= N-1; k++)
{
fenzi = 1;
fenmu = 1;
for (j=0; j<=N-1; j++)
{
if (j != k)
{
fenzi = fenzi * (x - xi[j]);
fenmu = fenmu * (xi[k] - xi[j]);
}
}
t = yi[k] * fenzi / fenmu;
y = y + t;
}
return y;
}
//-----------------------------------------------------------
Java:
import java.util.Scanner;
public class abc {
public static void main(String args[]){
Scanner reader =new Scanner(System.in);
System.out.println("请输待处理的数据长度:");
int N = reader.nextInt();
double xi[] = new double[N];
double yi[] = new double[N];
System.out.println("请依次输入给定的插值点xi:");
for(int i = 0;i < xi.length;i++)
{
xi[i] = reader.nextDouble();
}
System.out.println("请依次输入给定插值点对应的函数值yi:");
for(int j = 0;j < yi.length;j++)
{
yi[j] = reader.nextDouble();
}
double x,x2;
System.out.println("运用拉格朗日插值法解得:");
for(x=xi[0];x<=xi[xi.length-1];x+=0.01)
{
Lagrange M;
M=new Lagrange(xi,yi,x);
System.out.printf("f(%4.2f)=%f\t",x,M.pt());
}
System.out.println();
System.out.println("请输入单独求的数值数目为:");
int Num = reader.nextInt();
System.out.println("要求的x值为:");
double x3[]=new double[Num];
for(int i=0;i<Num;i++){
x3[i] = reader.nextDouble();
}
for(int j=0;j<Num;j++){
double Num_x=x3[j];
Lagrange L = new Lagrange(xi,yi,Num_x);
System.out.println("f("+Num_x+")="+L.pt());
}
}
}
class Lagrange{
int j,k,m,n;
double fz,fm,x,y =0,t,A[],B[];
Lagrange(double a[],double b[],double c) {
m = a.length;
n = b.length;
x = c;
A = a;
B = b;
}
double pt(){
for(k=0;k<m;k++){
fz=1;
fm=1;
for(j=0;j<n;j++){
if(j!=k)
{
fz=fz*(x-A[j]);
fm=fm*(A[k]-A[j]);
}
}
t = B[k]*fz/fm;
y = y+t;
}
return y;
}
}
待续...

浙公网安备 33010602011771号