剑指 Offer 34. 二叉树中和为某一值的路径
给你二叉树的根节点 root 和一个整数目标和 targetSum ,找出所有 从根节点到叶子节点 路径总和等于给定目标和的路径。叶子节点 : 是指没有子节点的节点。
示例:

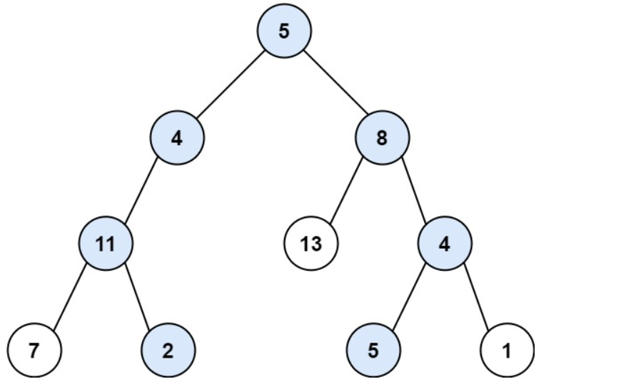
输入:root = [5,4,8,11,null,13,4,7,2,null,null,5,1], targetSum = 22
输出:[[5,4,11,2],[5,8,4,5]]
示例2

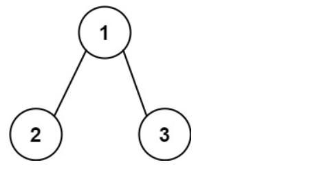
输入:root = [1,2,3], targetSum = 5
输出:[]
示例 3:
输入:root = [1,2], targetSum = 0
输出:[]
题解
在先序遍历中,记录从根节点到当前节点的路径。结果需要满足:
- 当前路径为根节点到叶节点形成的路径
- 各节点值的和等于目标值target时,将此路径加入结果列表。
递推工作
- 路径更新: 将当前节点值 root.val 加入路径 path ;
- 目标值更新: tar = tar - root.val(即目标值tar 从 sum 减至 00 );
- 路径记录: 当 ① root 为叶节点 且 ② 路径和等于目标值 ,则将此路径 path 加入res 。
- 先序遍历:递归左 / 右子节点。
- 路径恢复: 向上回溯前,需要将当前节点从路径 path 中删除,即执行path.pop() 。
截至条件
- 若节点 root 为空,则直接返回。

接下来看代码就能理解!
class Solution {
public:
vector<vector<int>> res ; //保存满足条件的路径
vector<int> path ; //保存路径值
vector<vector<int>> pathSum(TreeNode* root, int target) {
dfs(root , target) ;
return res ;
}
void dfs(TreeNode* root , int target){
if(root == nullptr) return ; // 递归截至条件!
path.push_back(root -> val) ;
target -= root -> val ; //每次走都减去
if(target == 0 && root -> left == nullptr && root -> right == nullptr){
res.push_back(path) ; //满足当前当前节点为叶子节点并且和为target
}
dfs(root -> left , target) ; //递归左子树
dfs(root -> right , target) ;
path.pop_back() ;
}
};

浙公网安备 33010602011771号