【数据结构与算法】9.1、二叉树 遍历查找 删除
1、为什么需要树这种数据结构
1).数组存储方式的分析
优点:通过下标方式访问元素,速度快,对于有序数组,还可以使用二分查找提高检索速度。
缺点:如果要检索具体某个值,或者插入值会整体移动,效率低。

2).链式存储方式的分析
优点:在一定程度上对数组存储方式有优化(比如 插入一个数据节点,只需要将插入节点直接插入到链表中,删除也很快)
缺点:在进行检索时,效率任然较低,比如检索(需要从头开始检索)。

3).树存储方式的分析
能提高数据存储,读取的效率,比如利用二叉排序树(Binary Sort Tree)。既可以保证数据的检索速度,同时也可以保证数据的插入,删除,修改的速度。

2、树的基本知识

- 节点
- 根节点
- 父节点
- 子节点
- 叶子节点(没有子节点的节点)
- 节点的权(节点值)
- 路径(从root节点找到该节点的路线)
- 层
- 子树
- 树的高度(最大层数)
- 森林:多颗子树构成森林
3.二叉树的概念
- 树有很多种,每个节点最多只能由两个子节点的一种形式称为二叉树。
- 二叉树的子节点分为左节点和右节点
![]()
- 如果该二叉树的所有叶子节点都在最后一层,并且节点总数=2^N-1 N为层数,则我们称为满二叉树。
![]()
- 如果该二叉树的所有叶子节点都在最后一层或者倒数第二层,而且最后一层的叶子节点在左边连续,倒数第二层的叶子节点在右边连续,我们称为完全二叉树。
![]()
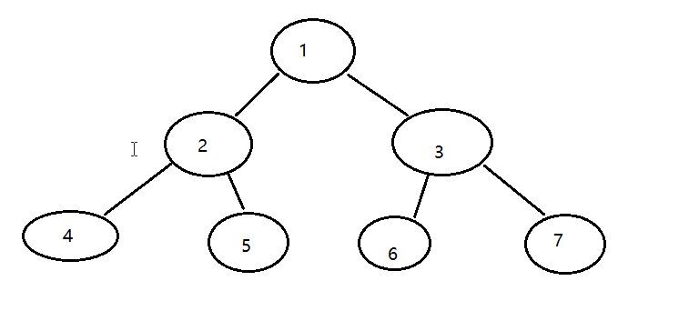
4.二叉树的遍历
- 使用前序。中序和后序对下面的二叉树进行遍历
- 前序遍历:先输出父节点,在遍历左子树和右子树
- 中序遍历:先遍历左子树,在输出父节点,在遍历右子树
- 后续遍历:先遍历左子树,在遍历右子树,在输出父节点。
- 总结:看输出父节点的顺序,就确定是前序 中序 后序。

5、代码实现
package com.hblg.tree;
/**
* @author i
* @create 2019/10/12 17:33
* @Description 二叉树
* 二叉树
* 前序遍历
* 父-》左-》右
* 中序遍历
* 左-》父-》右
* 后续遍历
* 左-》右-》父
*/
public class BinaryTreeDemo {
public static void main(String[] args) {
BinaryTree binaryTree = new BinaryTree();
StudentNode root = new StudentNode(1,"宋江");
StudentNode node2 = new StudentNode(2,"吴用");
StudentNode node3 = new StudentNode(3,"罗俊毅");
StudentNode node4 = new StudentNode(4,"林冲");
StudentNode node5 = new StudentNode(5,"张飞");
binaryTree.setRootNode(root);//设置根节点
root.setLeft(node2);
root.setRight(node3);
node3.setRight(node4);
node3.setLeft(node5);
// //前序遍历 父左右
// System.out.println("前序遍历:"); // 1.2.3.4
// binaryTree.preOrder();
//
// //中序遍历 左 父 右 2134
// System.out.println("中序遍历");
// binaryTree.midOrder();
//
// //后序遍历 左 右 父 2431
// System.out.println("后序遍历");
// binaryTree.postOrder();
//删除节点
// binaryTree.delStudentNode(5);
// binaryTree.preOrder();//前序遍历 1 2
binaryTree.delStudentNode(5);
binaryTree.postOrder();//后序遍历
}
}
/***
* 二叉树
*/
class BinaryTree{
private StudentNode rootNode;//根节点
public StudentNode getRootNode() {
return rootNode;
}
public void setRootNode(StudentNode rootNode) {
this.rootNode = rootNode;
}
//前序遍历 父左右
public void preOrder(){
if (this.rootNode != null){
this.rootNode.preOrder();
}else {
System.out.println("二叉树不存在~");
}
}
//中序遍历 左父右
public void midOrder(){
if(this.rootNode != null){
this.rootNode.midOrder();
}else {
System.out.println("二叉树不存在~");
}
}
//后序遍历 左右父
public void postOrder(){
if (this.rootNode != null){
this.rootNode.postOrder();
}else {
System.out.println("二叉树不存在~");
}
}
//前序查找
public StudentNode preOrderSearch(int no){
if (this.rootNode != null){
return rootNode.preOrderSearch(no);
}else {
return null;
}
}
//中序遍历 左父右
public StudentNode midOrderSearch(int no){
if(this.rootNode != null){
return rootNode.midOrderSearch(no);
}else {
return null;
}
}
//后序遍历 左右 父
public StudentNode postOrderSearch(int no){
if (this.rootNode != null){
return rootNode.postOrderSearch(no);
}else {
return null;
}
}
//删除节点
public void delStudentNode(int no){
if (this.rootNode != null){
if (this.rootNode.getId() == no){
this.rootNode = null;//删除就是根节点
}else {
this.rootNode.delStudentNode(no);//删除子节点 递归查找删除
}
}else {
System.out.println("没有找到!");
}
}
}
/***
* 节点类
*/
class StudentNode{
private Integer id;
private String name;
private StudentNode left;//左节点
private StudentNode right;//右节点
public StudentNode(Integer id, String name) {
this.id = id;
this.name = name;
}
public Integer getId() {
return id;
}
public void setId(Integer id) {
this.id = id;
}
public String getName() {
return name;
}
public void setName(String name) {
this.name = name;
}
public StudentNode getLeft() {
return left;
}
public void setLeft(StudentNode left) {
this.left = left;
}
public StudentNode getRight() {
return right;
}
public void setRight(StudentNode right) {
this.right = right;
}
@Override
public String toString() {
return "StudentNode{" +
"id=" + id +
", name='" + name + '\'' +
'}';
}
//前序遍历 父左右
public void preOrder(){
//父节点
System.out.println(this);
//左子节点遍历
if(this.left != null){
this.left.preOrder();
}
//右子节点遍历
if(this.right != null){
this.right.preOrder();
}
}
//中序遍历 左 父 右
public void midOrder(){
//左节点遍历
if(this.left != null){
this.left.midOrder();
}
//父节点
System.out.println(this);
//右节点
if (this.right != null){
this.right.midOrder();
}
}
//后序遍历 左 右 父
public void postOrder(){
//左节点遍历
if (this.left != null){
this.left.postOrder();
}
//右节点
if (this.right != null){
this.right.postOrder();
}
//父节点
System.out.println(this);
}
/***
* 使用前序 中序 后序的方式来查询指定的节点
* 前序查找思路
* 1.先判断当前节点的no是否等于要查找的
* 2.如果是相等,则返回当前节点
* 3.如果不等,则判断当前节点的左子节点是否为空,如果不为空,则递归前序查找
* 4.如果左递归前序查找,找到节点,则返回 否则继续判断,
* 当前的节点的右子节点是否为空,如果不空,则继续向右递归前序查找
*
*/
public StudentNode preOrderSearch(int no){
//1、先判断当前节点no是否是要查找的
if(this.getId() == no){
return this;
}
StudentNode currentNode = null;
//2、如果不等,则判断当前节点的左子节点是否为空
if(this.left!=null){
currentNode = this.left.preOrderSearch(no);//递归前序查找
}
//说明左子树找到
if (currentNode != null){
return currentNode;
}
//3.判断右子节点是否相等
if (this.right != null){
currentNode = this.right.preOrderSearch(no);//递归前序查找
}
return currentNode;
}
/***
* 中序遍历
* 1.判断当前节点的左子节点是否为空,如果不为空,则递归中序查找
* 2.如果找到,则返回,如果没有找到,就和当前节点做比较,如果是返回当前节点,否则继续进行向右递归中序查找
* 3.如果右递归中序查找,找到就返回 否则返回null
* @param no
* @return
*/
public StudentNode midOrderSearch(int no){
StudentNode currentNode = null;
//1.判断当前节点的左子节点是否为空,如果不为空 则递归中序查找
if (this.left != null){
currentNode = this.left.midOrderSearch(no);
}
//2.找到直接返回
if (currentNode != null){
return currentNode;
}
//3.如果找到 直接返回
if (this.getId() == no){
return this;
}
//4.否则进行向右递归查找
if (this.right != null){
currentNode = this.right.midOrderSearch(no);
}
return currentNode;
}
/***
* 后序遍历
* 1.判断当前节点的左子节点是否为空,如果不为空,则递归后查找
* 2.如果找到,就返回 如果没有找到,就判断当前节点的右子节点是否为空,如果不为空 则右递归进行后续查找,如果找到,就返回
* 3.就和当前节点进行,比如,如果是则返回,否则返回null.
* @param no
* @return
*/
public StudentNode postOrderSearch(int no){
StudentNode currentNode = null;
if (this.left != null){//左子树查找
currentNode = this.left.postOrderSearch(no);
}
if (currentNode != null){//找到 直接返回
return currentNode;
}
if (this.right != null){//右子树查找
currentNode = this.right.postOrderSearch(no);
}
if (currentNode != null){//找到 直接返回
return currentNode;
}
if (this.getId() == no){
return this;
}
return currentNode;
}
/***
* 递归删除节点
* 1.如果删除的节点是叶子节点,则删除该节点
* 2.如果删除的节点是非叶子节点,则删除该子树
*
* 思路:1.因为我们的二叉树是单向的,所以我们是判断当前节点的子节点是否需要删除节点,而不能去判断当前这个节点是不是需要删除的节点
* 2.如果当前节点的左子节点不为空,并且左子节点就是要删除节点,就将this.left = null;并且就返回(结束递归删除)
* 3.如果当前节点的右子节点不为空,并且右子节点就是要删除的节点 就将this.right = null;并且就返回(结束递归删除)
* 4.如果第2步和第三部没有删除节点,那么我们就需要向左子节点树进行递归删除
* 5.如果第4步也没有删除节点,则应当向右子树进行递归删除。
* @param no
*/
public void delStudentNode(int no){
//2.如果当前节点的左子节点不为空,并且左子节点就是要删除节点,就将this.left = null
if (this.left != null && this.left.getId()== no){
this.left = null;
return;
}
//3.如果当前节点的右子节点不为空,并且右子节点就是要删除节点,就将this.right = null
if (this.right != null && this.right.getId() == no){
this.right = null;
return;
}
//4.递归左子树
if (this.left != null){
this.left.delStudentNode(no);
}
//5.递归右子树
if (this.right != null){
this.right.delStudentNode(no);
}
}
}




浙公网安备 33010602011771号