##Nolting 多体物理 第一章 二次量子化
第一章 二次量子化 第11页开始
1.1节 全同粒子
1.2节 连续福克表象
1.真空态
2.产生算符
1)特点:
2)定义:
3)物理意义:
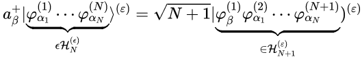
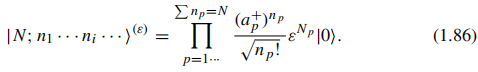
4)用产生算符表示N粒子态基矢:
5)产生算符的对易关系:
3.湮灭算符
1)特点:
2)定义:
3)用湮灭算符表示N粒子态基矢:
4)物理意义:
a.湮灭算符作用于N粒子态基矢 :
b.湮灭算符的物理意义:
5)湮灭算符的对易关系:
6)湮灭算符和产生算符之间的对易关系:
4. 用产生湮灭算符表示的N粒子可观测量(其实是可观测量的算符)
1)可观测量
2)单粒子部分:
3)两粒子部分:
5. 此节总结:
6. 占据密度算符和粒子数算符
1)引入占据密度算符:
2)引入粒子数算符:
3)对易关系
a.占据数密度算符与产生湮灭算符的对易关系:
b.粒子数算符和产生湮灭算符的对易关系:
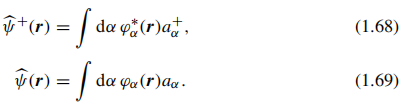
7.位置算符和场算符
1)位置算符:
2)场算符:
3)场算符对N粒子态基矢的作用:
4)N粒子态基矢用场算符表示:
5)场算符的对易关系:
6)场算符与产生湮灭算符之间的关系:
1.3节 离散福克表象
1.对称(反对称)N粒子态:
2.占据数
3.归一化因子
4.占据数表象
1)占据数表象:
2)福克态:
a.福克态:
b.福克态的正交归一条件:
c.福克态的完备性条件:
3)产生算符
a.产生算符的定义:
b.产生算符作用于福克态
c.用产生算符表示N粒子福克态:
4)湮灭算符
5)产生湮灭算符的对易关系:
6)用产生湮灭算符表示N粒子可观测量
7)占据数算符和粒子数算符
a.占据数算符
b.粒子数算符
c.占据数算符与产生湮灭算符的对易关系:
d. 粒子数算符和产生湮灭算符的对易关系:
1.4节 习题
1. 1.4.4题:典型题 产生湮灭算符的应用
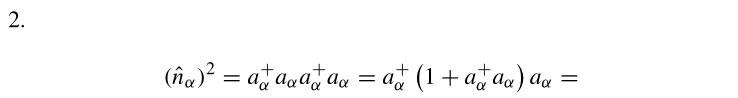
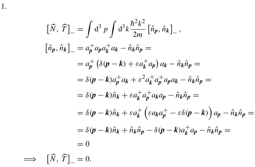
2. 1.4.5题 典型题,重要 多个产生湮灭算符算复杂的对易:利用产生湮灭算符对易关系
3. 1.46题 典型题 场算符的应用 但答案不严谨,有错误
4. 1.4.7题:计算对易式,涉及粒子数算符、粒子数密度算符。还是利用产生湮灭算符的对易关系
5. 习题1.4.8:
5. 习题1.4.9:重要,巨正则系综(但这是无相互作用的粒子系统的情况)
6. 习题1.4.10
1.1节 全同粒子
见笔记本:
1.2节 连续福克表象
1.2节从书中8到11页的部分见笔记本:






前面的讨论说明应用对称(反对称)N粒子态很复杂。因此引入产生湮灭算符。
1.真空态
引入真空态
2.产生算符
1)特点:
它联系了有不同粒子数的多粒子希尔伯特空间:
2)定义:
此算符由它的作用定义:
产生算符作用于N粒子态基矢 :

式中注意
加到波函数中的位置 (这个位置是定义出来的)。注意产生算符作用后,波函数的粒子指标也改变了,因为粒子指标就是从左到右排的,确实,因为前面(1.25)式后面的说明中说了
就是一个标准排列(这也是定义出来的,确实,而且与实验相符)。
3)物理意义:
产生了一个处于单粒子态
的粒子。
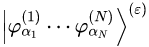
4)用产生算符表示N粒子态基矢:


证:由(1.35)即得。
这里必须要注意算符的顺序,例如:根据(1.35)得:

上面每个单粒子波函数上都有(1)...(N)这些符号,这里没有写出来。
(1)、(2)算符顺序不同,结果也不同。
(2)的证明:
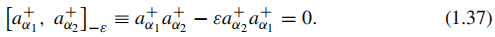
5)产生算符的对易关系:
对玻色子,产生算符对易,对费米子,产生算符反对易。
证:对玻色子
,(1)=(2),得:
=0.
对费米子,(1)=—(2),得:
得证。
3.湮灭算符
它是
的厄米共轭算符
1)特点:
联系了有不同粒子数的多粒子希尔伯特空间:

2)定义:

(1.40)式中注意
加到波函数中的位置
3)用湮灭算符表示N粒子态基矢:


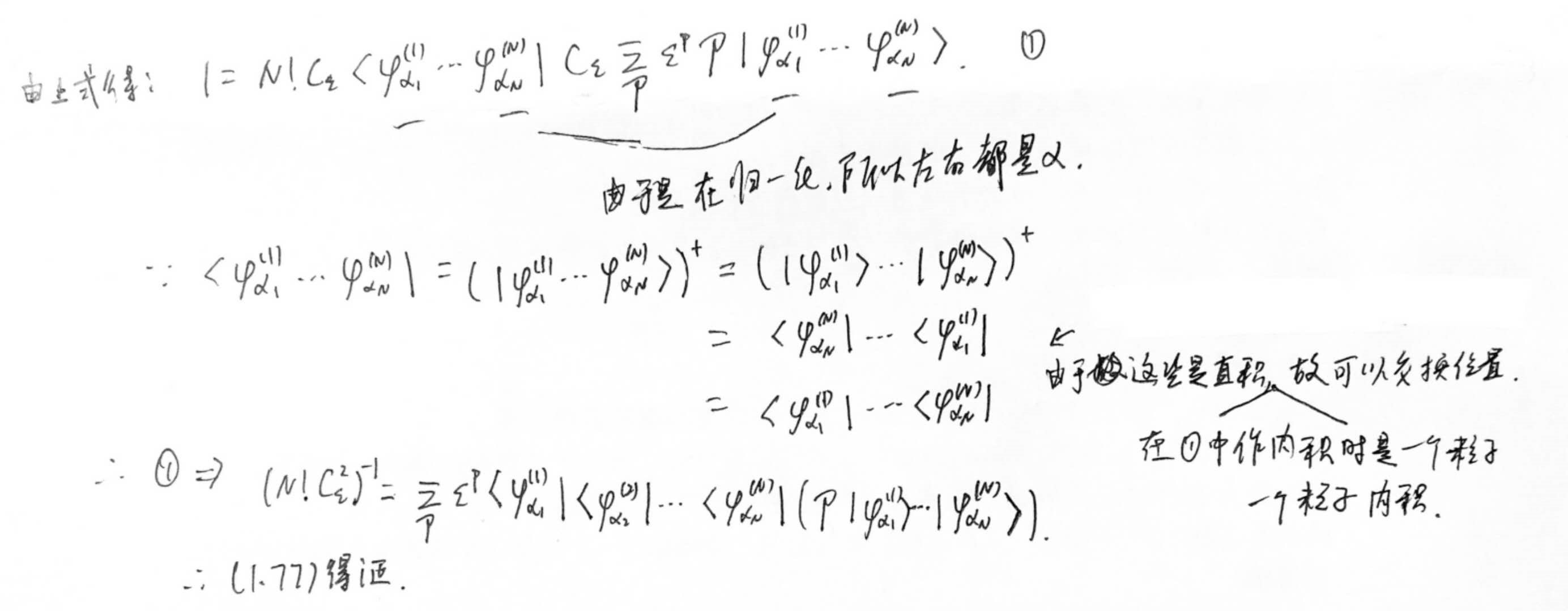
(1.40)、(1.41)证:(1.35)、(1.36)取厄米共轭得到。
4)物理意义:
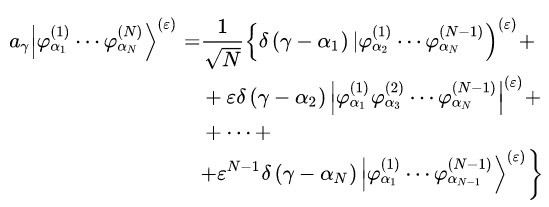
a.湮灭算符作用于N粒子态基矢 :

注意(1.42)式同时包含了下面b.中说的两种情况。
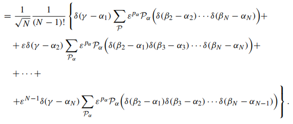
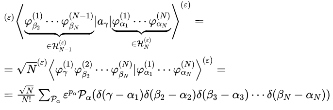
(1.42)证明:计算下面的矩阵元:
![]()
第一行到第二行是代入了(1.40)式得到。第二行到第三行是代入(1.29)式得到。
通过对上式最后一行的求和进行分类,得:
![]()
【上面每个单粒子波函数上都有(1)...(N)这些符号,这里没有写出来。】
![]()
【证明略,我不是研究这个的,有人证明了,这个证明很复杂,我可以证明出来,有思路,但没时间,确实算了】
上式右边的求和又可以写成标量积,但是现在等号右边的波函数都是在希空间中:
![]()
【上面每个单粒子波函数上都有(1)...(N-1)这些符号,这里没有写出来。】
【【上式证明:

】】
由于左矢是
的任意一个基矢,所以从上式即得到(1.42)式。得证。
b.湮灭算符
的物理意义:
情况1:如果单粒子态
出现在构造了N粒子态基矢
的单粒子态
中,则(1.42)说明湮灭算符作用于
,得到等式右边不含
的(N-1)粒子态。说明湮灭算符
湮灭了一个处于单粒子态
的粒子。
情况2:如果单粒子态
不出现在构造了N粒子态基矢
的单粒子态
中,则(1.42)说明湮灭算符作用于N粒子态基矢
,N粒子态基矢消失。一种特殊情况为:

上面结论及(1.43)的证明:
5)湮灭算符的对易关系:

6)湮灭算符和产生算符之间的对易关系:
注意(1.45)右边是
函数,不是克罗尼克符号。
使用对易关系(1.37)、(1.44)、(1.45),我们能得到算符的任意排列顺序。
(1.44)证明:
![]()
(1.45)证明:
因此,通过使用(1.36)和(1.41),我们能将所有N粒子态通过重复运用产生和湮灭算符得到真空态
。
证明:我不会证明上面这个结论,以后再说或以后问别人,讨论的重要性.
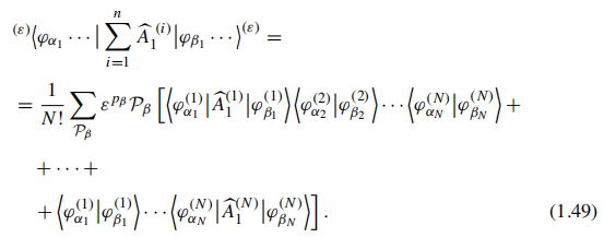
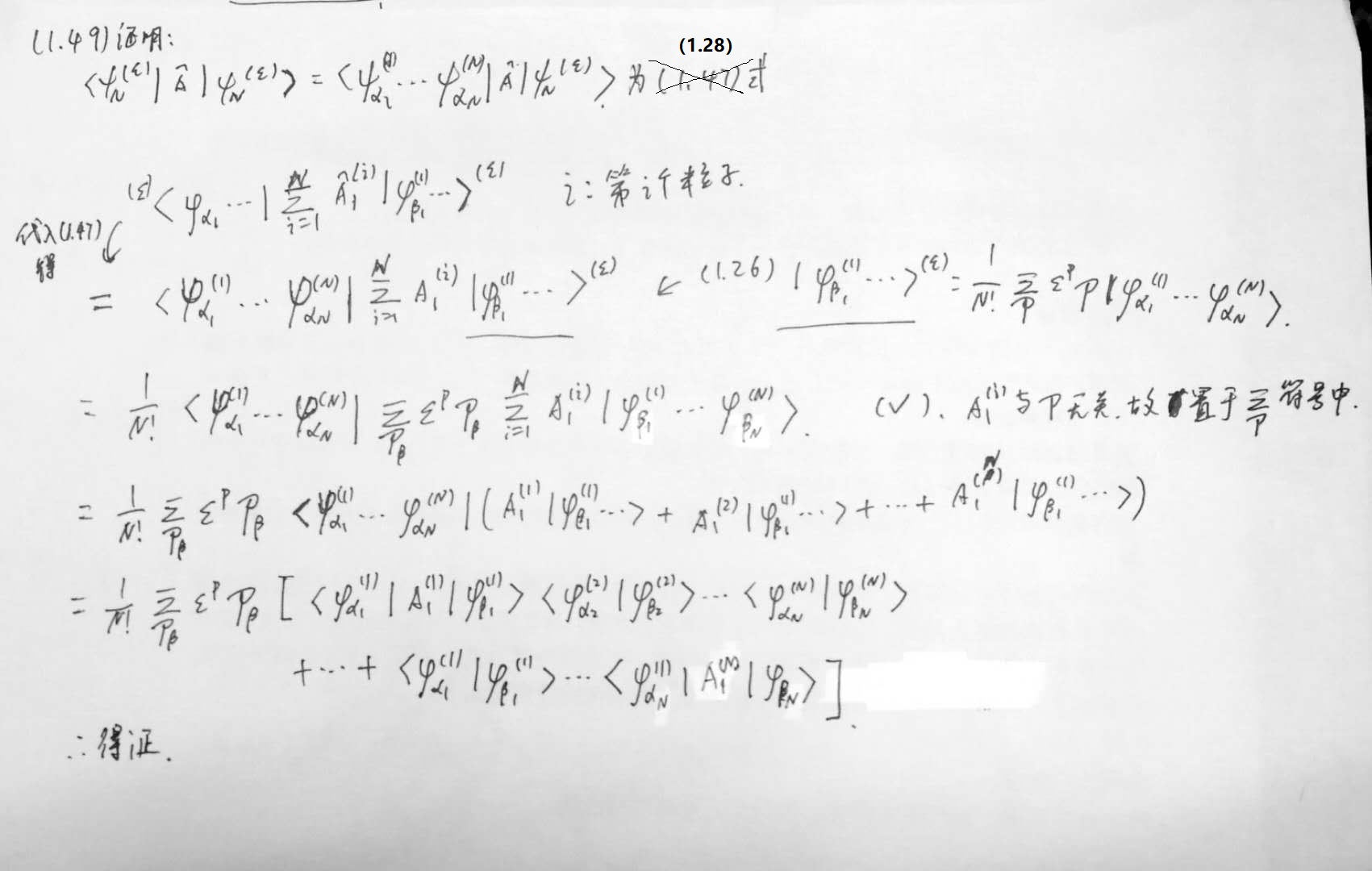
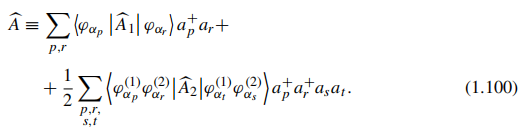
4. 用产生湮灭算符表示的N粒子可观测量(其实是可观测量的算符)
1)可观测量
对任意可观测量
使用完备性条件(1.32),得:
将第一个划线处换成(1.36),第二个划线处换成(1.41)得:
通常
包括单粒子和两粒子部分:

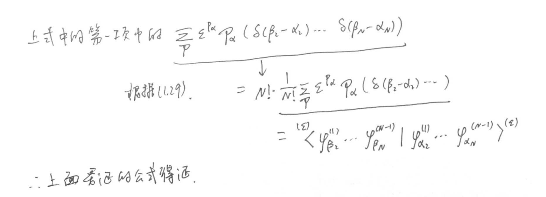
2)单粒子部分:
在右边,粒子数N不再精确地出现。(因为有N个粒子,所以这里的n=N)。
(1.51)证明:讨论单粒子部分时,在(1.47)中需要求下面的矩阵元:

上面每个单粒子波函数上都有(1)...(N-1)这些符号,这里没有写出来。
(1.49)证明:
后面一直到(1.51)式的内容都不懂,非常难,也没有写得很清楚,写得很简略。
最后得到(1.51)式。
3)两粒子部分:
矩阵元能够由无对称性态构造:
但也能由对称两粒子态:
来构造。

上式证明:将
代入
即得。
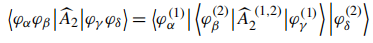
每个和对(1.54)提供相同的贡献,因此归一化因子保证(1.54)中的对称矩阵元素与非对称矩阵元素等价。因此,人们可以在方便的基础上做出选择。
(1.51)和(1.54)的证明及后面这些关于矩阵元的说法在nolting书中写得太简略,我看不懂,而且这部分很难。以后听老师上课讲。北大高量课有证明这两个公式。
5. 此节总结:


其中留下的矩阵元能被直接计算。我们将在第二章给出一些应用这个程序的例子。
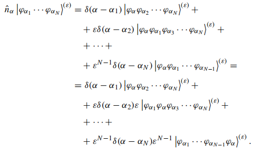
6. 占据密度算符和粒子数算符
1)引入占据密度算符:
的基矢态是占据密度算符的本征态:
微观占据密度包含于上面的花括号中。
上面每个单粒子波函数上都有(1)...(N)这些符号,这里没有写出来。
(1.56)证明:
由(1.35)和(1.42)得到:
上式证明:
在上式中分别令
=
,...,
,并注意到
的偶数次方等于1,得(1.56). 得证。
2)引入粒子数算符:
的基矢
是粒子数算符
的本征态,且本征值为粒子数N。

上面每个单粒子波函数上都有(1)...(N)这些符号,这里没有写出来。
上式证明:第一行等号右边是因为粒子数算符的作用就是这样定义的(这是因为(1.56)和(1.57)式)。第二行是因为函数的性质。
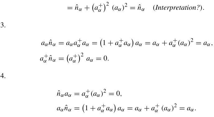
3)对易关系
a.占据数密度算符与产生湮灭算符的对易关系:

b.粒子数算符和产生湮灭算符的对易关系:

(1.59)、(1.60)证明:
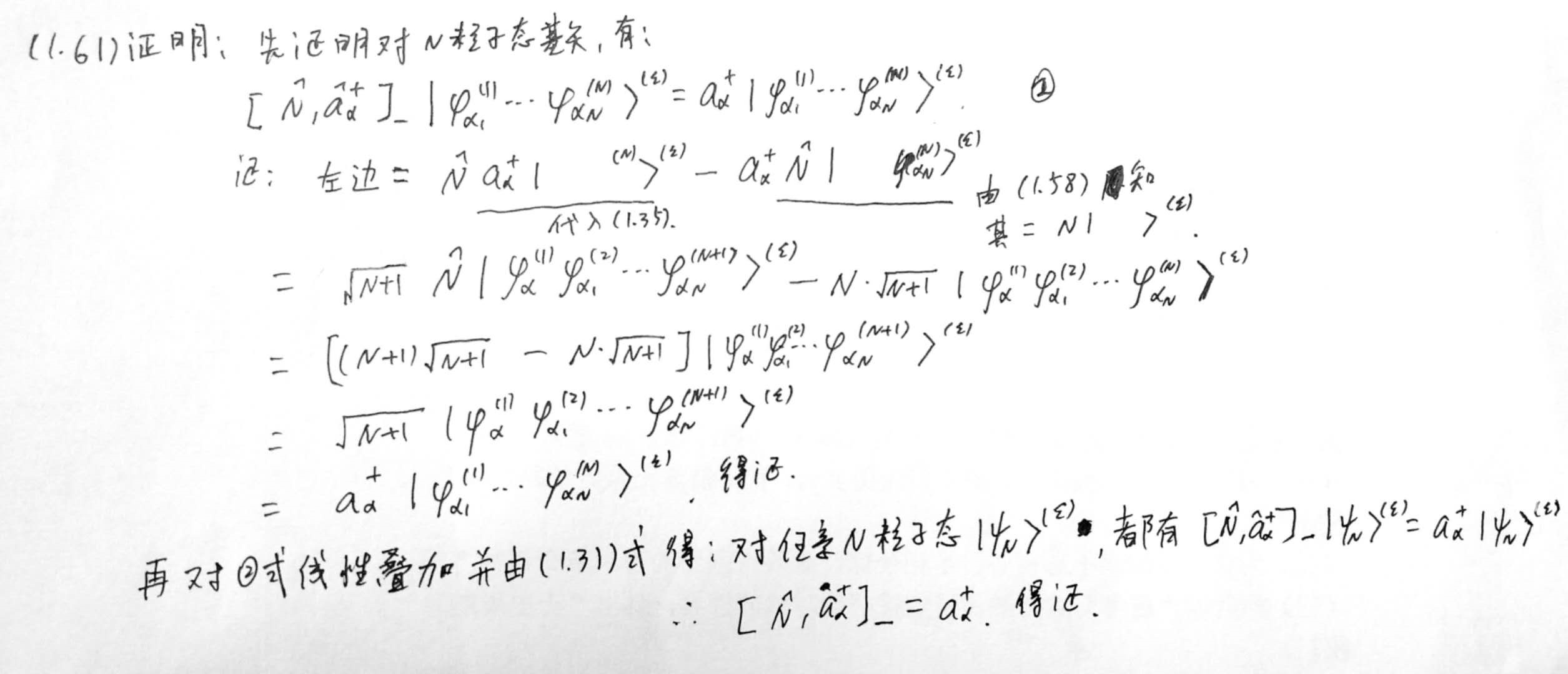
(1.61)证明:
由(1.61)得:
将(1.62)作用到N粒子基态,得:
从此式可知,产生湮灭算符的定义是合适的。
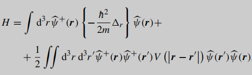
7.位置算符和场算符
1)位置算符:
回顾一下,我们在1.2节的开头(见笔记本)假设了具有连续谱的单粒子可观测量
,从这个单粒子可观测量的本征态构造了希尔伯特空间
的N粒子态基矢。这类可观测量的一个重要例子是:位置算符
2)场算符:
与位置算符对应的产生湮灭算符称为场算符![]()
3)场算符对N粒子态基矢的作用:
![]()

4)N粒子态基矢用场算符表示:
![]()

5)场算符的对易关系:

(1.63)~(1.65)证明:前面得到的所有产生湮灭算符的关系对场算符都成立,故得证。
6)场算符与产生湮灭算符之间的关系:
在这第7点之前,
是单粒子可观测量
的本征态,但在这第7点,取
=
后,这里的
不是表示
的本征态,而是表示另一个算符
的本征态。
产生湮灭算符
是对应
的产生湮灭算符。比如
场算符
是对应
的产生湮灭算符。比如
(1.66)~(1.69)证明:

此证明是书中的证明,但我认为有错误。以后上课问老师或同学,或找negele的书(因为数学很严谨)。正确的证明见喀书高等量子力学428至429页中(31.21)至(31.24)式的证明。
其实从研一的我现在看来,我上面写的证明过程中说的问题也许不重要,可能物理就是没有数学严谨
1.3节 离散福克表象
假设N全同粒子系统的希空间
的基矢由单粒子可观测量
构造,
具有离散谱。
我们从(1.25)式形式的不对称N粒子态开始:![]()
注意是直积.
这里取的态指标
是被给出在一个任意、但是固定的标准排列。
将(1.18)中的
作用于(1.73),

得:
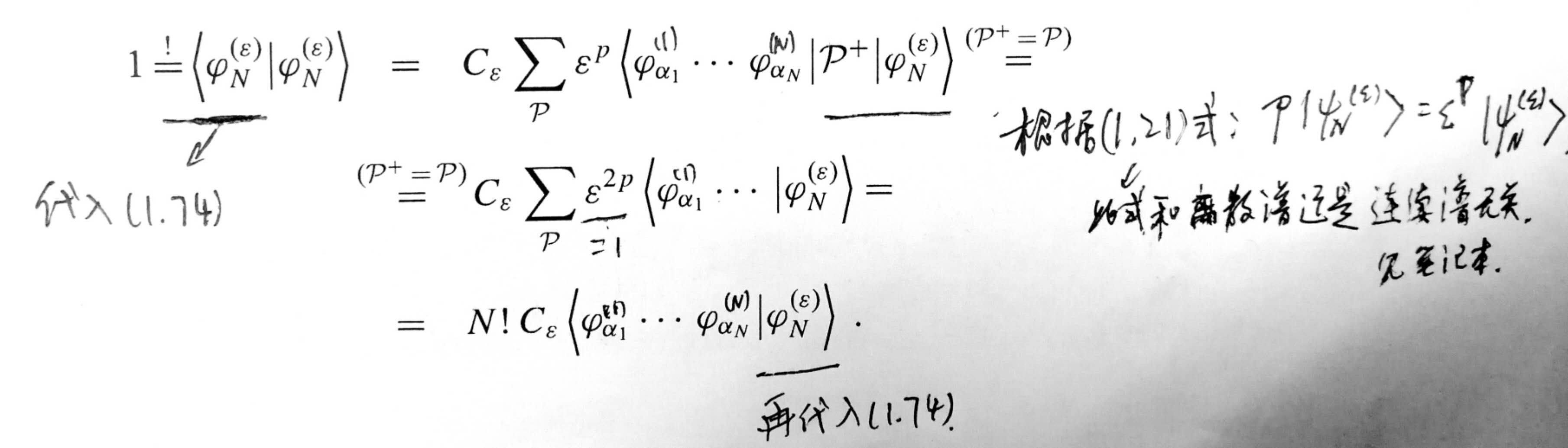
1.对称(反对称)N粒子态:
(1.74)
它与连续谱情况的(1.26)不同在于归一化因子
,此归一化因子现在还是一个待定常数。
对费米子
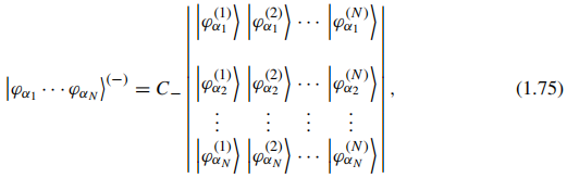
,费米子反对称N粒子态也能写成slater行列式的形式:
从slater行列式可以导出泡利不相容原理,见量子力学笔记本。泡利不相容原理不仅在这里讨论的离散谱的情况下成立,也在连续谱情况成立。连续谱情况的(1.26)对
情况也能写成slater行列式的形式。
2.占据数
为了确定归一化常数,引入占据数
占据数
:处于
态的全同粒子的数目。
注意这里和1.1节、1.2节的情况不同,1.1节、1.2节中的
的排列中(即
中)可以有两个相同的
。但在这里波函数是
,故这里要求
的排列中不能有两个相同的
。
3.归一化因子
将对称(反对称)N粒子态(1.74)归一化为1,得归一化因子:
在费米子情况
,
在玻色子情况
,

注意(1.79)中是不同的单粒子态
的序号。
(1.79)的形式其实对费米子也有效,因为在费米子情况,
只能取0和1,而
,故费米子情况的(1.79)和(1.78)式相等。
(1.78)和(1.79)的证明:
将对称(反对称)N粒子态(1.74)归一化为1,得:
![]()
![]()
得到:

在费米子情况,由于每个单粒子态上只能有一个粒子,故(1.77)中的
至
中没有两个相同的单粒子态,故(1.77)的右边只有在
等于1(此时
=0,
=1)才不为0,故由(1.77)和
得:
=1.即
,得证。
在玻色子情况,

4.占据数表象
1)占据数表象:
从(1.74)
可知, 由于排列
只对单粒子指标(或只对单粒子态)作用,
作用于
并不会改变不同的单粒子态
上的粒子数,故对称(反对称)N粒子态基矢
能独一无二地通过它的占据数来表征,但
是将各种排列加和,故
也不是直接为
个粒子位于
态,...,
个粒子位于
态,...时单粒子态的直积。从以上讨论知,可以引入福克态
表征对称(反对称)N粒子态基矢. 这导致了占据数表象。
2)福克态:
a.福克态:
占据数表象中的基矢 (1.80)称为福克态:
![]()
![]()


(1.80)是根据(1.74)直接得到的。
注意(1.80)第一行等号,福克态
和N粒子态基矢
相等。
注意在福克态的符号中给出了所有占据数。未被占据的单粒子态由
表示。如果两个福克态的所有占据数都是相同的,则这两个福克态是同一个态。
注意(1.80)中,排列
不会改变不同的单粒子态
上的粒子数,故福克态
确实是表示有
个粒子位于
态,...,
个粒子位于
态,...,但福克态
是将各种排列加和,故福克态也不是直接为
个粒子位于
态,...,
个粒子位于
态,...时单粒子态的直积。
b.福克态的正交归一条件:

c.福克态的完备性条件:
求和是对所有允许的占据数求和, 但还应满足条件
.
从(1.82)证明过程的划线句可知:此完备性条件中的态的粒子数为N,则此完备性条件(1.82)只能作用于粒子数也为N的N粒子本征态。(这个书上没有,是我自己得到的结论)
(1.81)、(1.82)证明:
3)产生算符
a.产生算符
的定义:
这里,
注意由于是产生算符的定义,(1.83)被定义都包括了费米子和玻色子的情况。在费米子情况,由于泡利不相容原理,
只能取0或1,若
=1,则根据(1.83)右边和slater行列式(有两行相同,行列式为0)知,此时(1.83)右边为0.
b.产生算符作用于福克态
(1.83)也可以写成:产生算符作用于福克态:
对玻色子:
![]()
对费米子:
![]()

(1.85)证明:
对玻色子:将代入(1.83)得到。
对费米子:将代入(1.83),并考虑泡利不相容原理,根据(1.83)下面的讨论得到。
c.用产生算符表示N粒子福克态:

证:从(1.83)得。
4)湮灭算符
湮灭算符作用于福克态:
对玻色子:
![]()
对费米子:
![]()
![]()
(1.87)证明:
5)产生湮灭算符的对易关系:

证:见nolting书25页下面~27页,写得好。
6)用产生湮灭算符表示N粒子可观测量
和(1.48)一致:
我们使用和连续谱情况相同的考虑,得:
用产生湮灭算符表示N粒子可观测量:
与连续谱情况的唯一区别在于,在这种情况下,两粒子矩阵元必须在每种情况下都从不对称两粒子态构成。 而对在离散谱(1.54)中的两粒子矩阵元,我们还可以使用对称(反对称)态。 这个区别的原因仅在于不同的归一化。
怎么证明(1.100)和上面这个结论?我不会证明,因为(1.51)、(1.54)的证明很复杂,我还不懂,(1.100)的证明书上也没写。所以这个结论我也不知道证。以后证,上课、北大高量课等。
7)占据数算符和粒子数算符
a.占据数算符
类似于占据密度算符(1.55),在离散谱情况,定义占据数算符:
(1.101)
从nolting书中第26页(1.91)、(1.94)得:
因此,占据数算符的作用是询问了在第r个单粒子态占据了多少个粒子这个问题。
b.粒子数算符
定义粒子数算符:
(1.103)
粒子数算符的本征态是福克态,本征值为总粒子数N:

c.占据数算符与产生湮灭算符的对易关系:
(1.105)
d. 粒子数算符和产生湮灭算符的对易关系:
(1.105)
(1.105)四个公式的证明:由产生湮灭算符的对易关系(1.97)、(1.98)、(1.99)可以证明。证明过程与连续谱情况的(1.59)、(1.60)、(1.61)的证明类似,证明略。
1.4节 习题
1. 1.4.4题:典型题 产生湮灭算符的应用
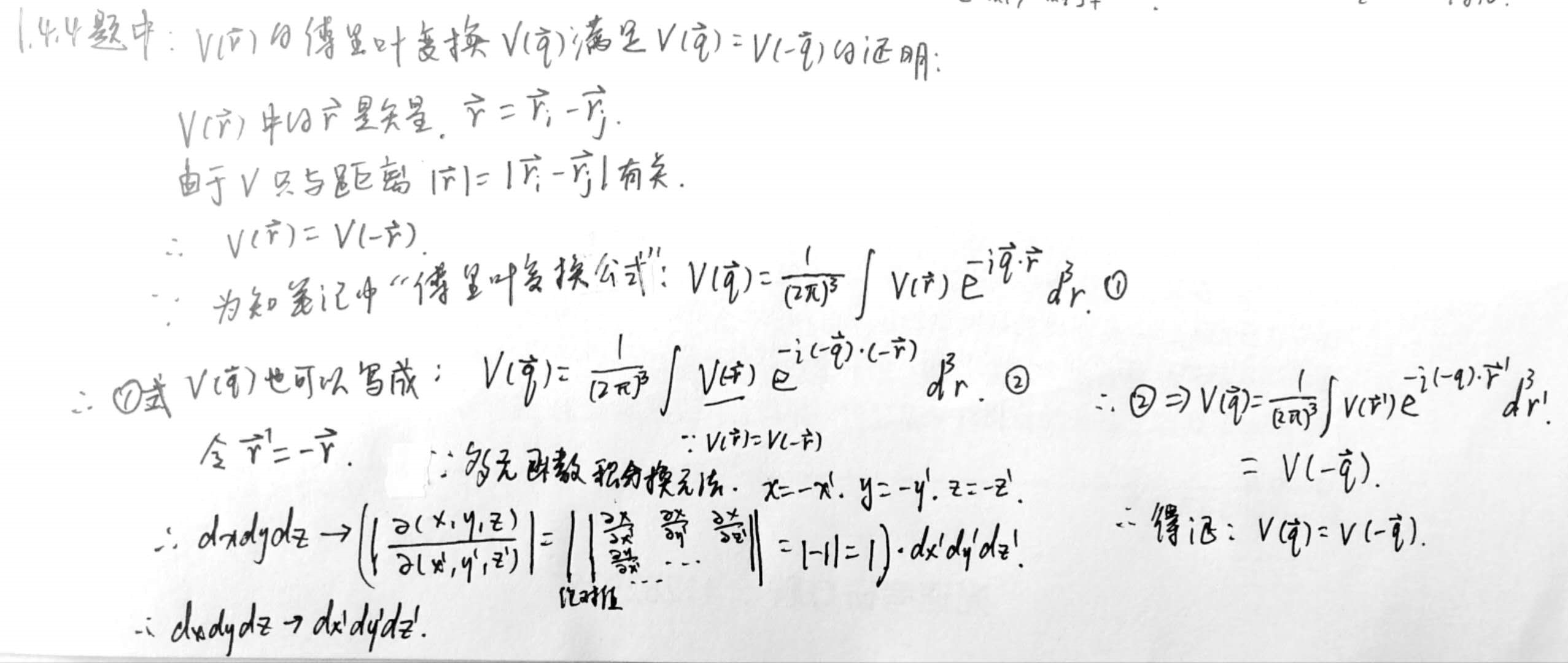
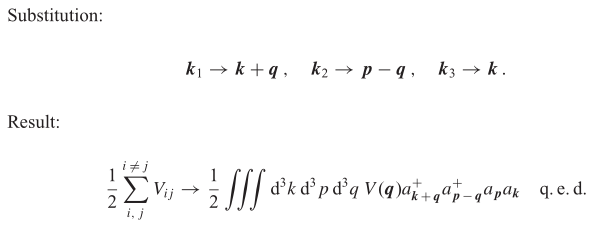
考虑N个全同粒子的系统,具有两两相互作用,此相互作用仅依赖于它们之间的距离:
证明哈密顿量
在连续
表象(平面波)能写成:

其中,
是相互作用势能的傅里叶变换(为知笔记中的傅里叶变换公式:
还应写成三维)。
你能利用下面的
函数的关系式:
证明:见书510至512页
题中
的证明:

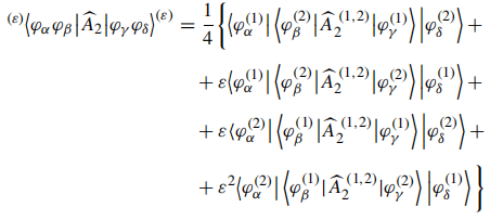
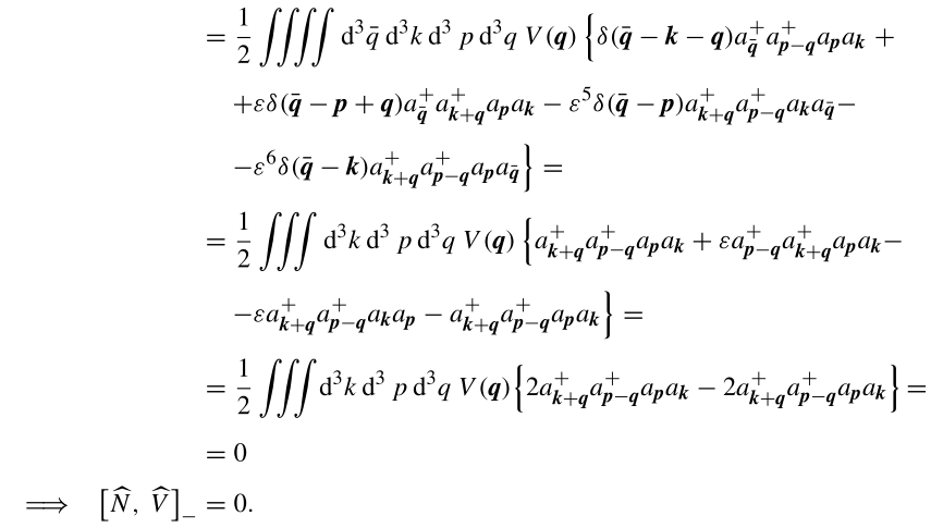
2. 1.4.5题 典型题,重要 多个产生湮灭算符算复杂的对易:利用产生湮灭算符对易关系
证明下面的粒子数算符和1.4.4题中的哈密顿量对易。
粒子数算符:
注意,这里粒子数算符与产生湮灭算符对易这个结论 未完
证:见书512至513页:
注意这里多个产生湮灭算符算对易:利用产生湮灭算符对易关系**.
这个两体算符的相关计算比较复杂,重要:

3. 1.46题 典型题 场算符的应用 但答案不严谨,有错误
考虑N个全同粒子的系统,具有两两相互作用,此相互作用仅依赖于它们之间的距离
,哈密顿量H能在场算符的角度表示成:
证明上面这个H表示和1.44题中推导出来的在
表象中的哈密顿量H是等价的。
证明:见书513至514页.
但是书中的证明不严谨,有错误,见书513页我写的笔记。所以还是学negele的书
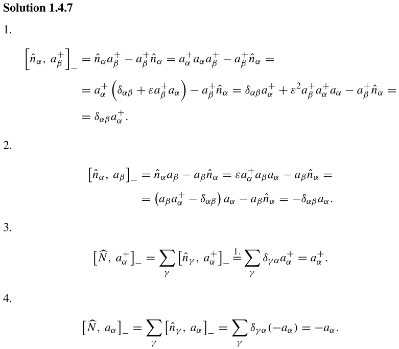
4. 1.4.7题:计算对易式,涉及粒子数算符、粒子数密度算符。还是利用产生湮灭算符的对易关系
Exercise Let and be annihilation and creation operators for single-particle states of an observable with a discrete spectrum.离散谱。
使用玻色子、费米子产生湮灭算符的对易关系计算以下对易式:
5. 习题1.4.8:
证明使用习题1.4.7中对费米子所做的假设,下列关系是有效的:
-
泡利不相容原理:不能有两个全同费米子处于同一个单粒子态。

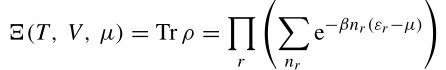
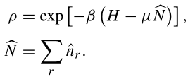
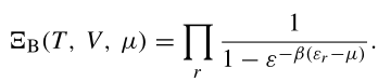
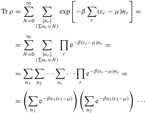
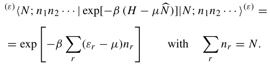
5. 习题1.4.9:重要,巨正则系综(但这是无相互作用的粒子系统的情况)
考虑一个由无相互作用的完全相同的玻色子或费米子组成的系统:
假设单粒子算符具有离散的、非简并的谱:
用于构造福克态. 系统的一般状态由非归一化密度矩阵ρ描述,对于该非归一化密度矩阵,在巨正则系综(粒子数可变!)中,下列条件成立:
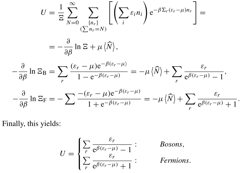
1.二次量子化的哈密顿量是什么?
2.验证了对于巨正则配分函数,下列关系成立:
3.计算粒子数的期望值
4.计算内能:![]()
5.计算第i个单粒子态的平均占据数,,并证明以下关系成立:![]()
2.巨正则系综的非归一化密度矩阵:
归一化福克态:
,前面正文中已经证明了它是的本征态,根据和知道,它也是和H的本征态:
因此,对这些福克态进行取迹是很方便的:
则,迹:
巨正则配分函数:
对玻色子
对费米子
![]()
特别注意,福克态的定义见:
。
在费特多体物理书中讨论的也是这题中的无相互作用粒子系统的情况:
![]()
![]()
![]()
与此题有关的巨正则系综公式的相关内容见:多体物理第一章:量子多体系统中的三个绘景及力学量的场算符表示.md


6. 习题1.4.10
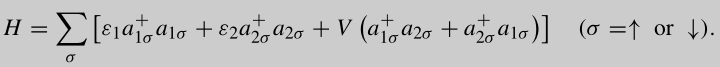
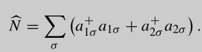
考虑来自两个不同能级,ε1和ε2,的电子系统。它们由下面的哈密顿量描述:
1.证明H与粒子数算符对易:
2.提出了利用福克态计算任意总电子数N(N=0,1,2,3,4)的能量本征值的一般方法
福克态:
3.计算N=0和N=1的能量本征值。
4.证明在N=2的六个可能的福克态中,有两个已经是H的本征态。求解剩下的4×4久期行列式。
5.求出N=3和N=4的能量本征值。


,(1)=(2),得:
,(1)=—(2),得:
希空间中:

的任意一个基矢,所以从上式即得到(1.42)式。得证。




=
,...,
,并注意到
的偶数次方等于1,得(1.56). 得证。
函数的性质。

等于1(此时
=0,
=1)才不为0,故由(1.77)和
得:



。

浙公网安备 33010602011771号