会员
众包
新闻
博问
闪存
赞助商
HarmonyOS
Chat2DB
所有博客
当前博客
我的博客
我的园子
账号设置
会员中心
简洁模式
...
退出登录
注册
登录
连任
博客园
首页
新随笔
联系
订阅
管理
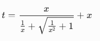
std::asinh反双曲正弦用到的近似求解
大值(|x| > 8.507e37f):退化为
sign
(
x
)
⋅
(
ln
2
+
ln
∣
x
∣
)
小值(|x| < 8.507e37f):使用代数变形和
log1p
,避免精度损失。
ln(1+t)
posted @
2025-06-19 16:39
园友1683564
阅读(
10
) 评论(
0
)
收藏
举报
刷新页面
返回顶部
公告