那快把题端上来吧 (二)
CF848C Goodbye Souvenir
\(\boldsymbol{CDQ}\) 。
\(CDQ\) 只能维护每个区间贡献独立的操作,考虑将所有修改造成的贡献离线下来。
具体的,用 set 维护每种颜色出现的位置,每次插入删除都会生成若干个形如 \((l, r, t)\) 的三元组。
维护三元组的偏序关系即可。
点击查看
#include <bits/stdc++.h>
#define lep(i, a, b) for (int i = a; i <= b; ++i)
#define rep(i, a, b) for (int i = a; i >= b; --i)
const int _ = 2e6 + 7;
typedef long long ll;
struct node { int t, pos, pre, op; }q[_]; int tot;
int n, m, a[_], Q; ll ans[_], c[_];
std::set <int> S[_];
void Add(int x, int k) { while (x <= n) c[x] += k, x += x & -x; }
ll Query(int x) { ll res = 0; while (x) res += c[x], x -= x & -x; return res; }
void Ins(int t, int c, int x) {
S[c].insert(x);
auto pos = S[c].find(x), fir = pos, sec = pos;
if (pos != S[c].begin()) --fir, q[++tot] = { t, x, *fir, 0 };
++sec; if (sec != S[c].end()) q[++tot] = { t, *sec, x, 0 };
if (pos != S[c].begin() and sec != S[c].end()) q[++tot] = { t, *sec, *fir, -1 };
}
void Del(int t, int c, int x) {
auto pos = S[c].find(x), fir = pos, sec = pos;
if (pos != S[c].begin()) { --fir;
q[++tot] = { t, x, *fir, -1 }; ++sec;
if (sec != S[c].end()) q[++tot] = { t, *sec, x, -1 }, q[++tot] = { t, *sec, *fir, 0 };
}
else { ++sec; if (sec != S[c].end()) q[++tot] = { t, *sec, x, -1 }; }
S[c].erase(pos);
}
void CDQ(int l, int r) {
if (l == r) return; int mid = (l + r) >> 1;
CDQ(l, mid), CDQ(mid + 1, r); auto cmp = [](const node& x, const node& y) { return x.pos < y.pos; };
std::sort(q + l, q + mid + 1, cmp), std::sort(q + mid + 1, q + r + 1, cmp);
int R = l;
lep(i, mid + 1, r) {
while (R <= mid and q[R].pos <= q[i].pos) {
if (q[R].op == 0) Add(n - q[R].pre + 1, q[R].pos - q[R].pre);
else if (q[R].op == -1) Add(n - q[R].pre + 1, q[R].pre - q[R].pos);
++R;
}
if (q[i].op > 0) ans[q[i].op] += Query(n - q[i].pre + 1);
}
lep(i, l, R - 1) {
if (q[i].op == 0) Add(n - q[i].pre + 1, q[i].pre - q[i].pos);
else if (q[i].op == -1) Add(n - q[i].pre + 1, q[i].pos - q[i].pre);
}
}
int main() {
scanf("%d%d", & n, & m);
lep(i, 1, n) scanf("%d", a + i), Ins(0, a[i], i); int op, x, y;
lep(i, 1, m) {
scanf("%d%d%d", & op, & x, & y);
if (op == 1) Del(i, a[x], x), Ins(i, a[x] = y, x);
else q[++tot] = { i, y, x, ++Q };
}
std::sort(q + 1, q + 1 + tot, [](const node& x, const node& y) { return x.t != y.t ? x.t < y.t : x.op < y.op; });
CDQ(1, tot);
lep(i, 1, Q) printf("%lld\n", ans[i]);
return 0;
}
P4027 [NOI2007] 货币兑换
\(\boldsymbol{CDQ 实现斜率优化}\) 。
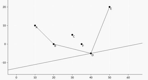
先复习一下斜率优化,当我们拥有一个 \(O(n^2)\) 的转移形如:
\(b(i) = \min\{-k(i)*x(j) + y(j)\}\) 时,发现其满足一次函数 \(y = kx + b\) 的形式。
将每一个 \(j\) 看做一个点 \((x(j), y(j))\) ,转移时看做一条斜率为 \(k(i)\) 的直线与某个点相交后的截距最小。
找最小截距的过程可以看做这条直线一直向上移动,直到与某个点相交,如图:

容易发现它一定会切在所有点的下凸壳上,维护下凸壳后可二分快速转移。
当所有 \(x(j)\) 单调时,我们可以快速维护下凸壳,但当 \(x(j)\) 不单调时,我们就需要使用 \(CDQ\) 或者 李超树解决。
下面介绍 \(CDQ\) 写法。
发现维护下凸壳满足我们所说的贡献独立的原则,使用 \(CDQ\) 优化。
具体的,对于当前维护的区间,先递归处理左侧的 \(dp\) 值,再把左侧区间的下凸壳维护处理,更新右侧区间的 \(dp\) 值。
这样,每个位置都被左侧更新完后才会更新右侧。
附一张 \(CDQ\) 转移图:

对于这题,可以推出 \(DP\) 转移:
,发现并不满足 \(b(i)=-k(i)x(j)+y(j)\) 的一般形式。
但是可以同除 \(b_i\) ,得到:
,就满足了, \(CDQ\) 维护即可。
点击查看
#include <bits/stdc++.h>
#define lep(i, a, b) for (int i = a; i <= b; ++i)
#define rep(i, a, b) for (int i = a; i >= b; --i)
const int _ = 1e5 + 7;
typedef double D;
typedef std::pair<D, D> PDD;
int n, id[_]; D dp[_], a[_], b[_], r[_], ans;
int stk[_], top;
D X(int x) { return (-dp[x] * r[x]) / (a[x] * r[x] + b[x]); }
D Y(int x) { return dp[x] / (a[x] * r[x] + b[x]); }
PDD Vec(int x, int y) { return { X(y) - X(x), Y(y) - Y(x) }; }
D Xor(PDD x, PDD y) { return x.first * y.second - y.first * x.second; }
bool Check(int x, int y, D k) { return Y(y) - Y(x) <= k * (X(y) - X(x)); }
void CDQ(int l, int r) {
if (l == r) return; int mid = (l + r) >> 1;
CDQ(l, mid); top = 0;
std::sort(id + l, id + mid + 1, [](const int& x, const int& y) { return X(x) != X(y) ? X(x) < X(y) : Y(x) > Y(y); });
lep(j, l, mid) { int i = id[j];
while (top > 1 and Xor(Vec(stk[top - 1], stk[top]), Vec(stk[top], i)) >= 0) --top;
stk[++top] = i;
}
lep(j, mid + 1, r) { int i = id[j];
int L = 1, R = top;
while (L < R) { int mid = (L + R) >> 1;
if (Check(stk[mid], stk[mid + 1], a[i] / b[i])) R = mid;
else L = mid + 1;
}
dp[i] = std::max(dp[i], dp[i - 1]);
dp[i] = std::max(dp[i], -X(stk[L]) * a[i] + Y(stk[L]) * b[i]);
}
std::sort(id + mid + 1, id + r + 1); CDQ(mid + 1, r);
}
int main() {
scanf("%d%lf", & n, dp + 1);
lep(i, 1, n) scanf("%lf%lf%lf", a + i, b + i, r + i), id[i] = i;
CDQ(1, n);
lep(i, 1, n) ans = std::max(ans, dp[i]);
printf("%.6lf\n", ans);
return 0;
}
P3674 小清新人渣的本愿
\(\boldsymbol{bitset , 莫队}\) 。
看到是否存在差为 \(x\) 的两个数,且值域很小,考虑 \(bitset\) 。
差可以直接判断,积可以 \(O(\sqrt n)\) 找因数。
下面讲讲如何处理和。
如果有两个数 \(a\), \(b\) 满足:
\(a + b = x\) ,那么,\(a = (V - b) - (V - x)\) 。
所以维护一个 \(bitset\) 表示 \(V-x\) 是否存在即可。
点击查看
#include <bits/stdc++.h>
#define lep(i, a, b) for (int i = a; i <= b; ++i)
#define rep(i, a, b) for (int i = a; i >= b; --i)
const int _ = 1e5 + 7;
const int V = 1e5;
struct node { int op, l, r, x, id; }q[_];
int n, m, a[_], cnt[_], bel[_], B;
std::bitset<V + 1> S, T; bool ans[_];
void Add(int x) { if (!cnt[x]) S[x] = true, T[V - x] = true; ++cnt[x]; }
void Del(int x) { --cnt[x]; if (!cnt[x]) S[x] = false, T[V - x] = false; }
int main() {
scanf("%d%d", & n, & m); B = n / std::sqrt(m);
lep(i, 1, n) scanf("%d", a + i), bel[i] = (i - 1) / B + 1;
int l, r, op, x;
lep(i, 1, m) scanf("%d%d%d%d", & op, & l, & r, & x), q[i] = { op, l, r, x, i };
std::sort(q + 1, q + 1 + m, [](const node&x, const node&y) {
return bel[x.l] ^ bel[y.l] ? x.l < y.l : ((bel[x.l] & 1) ? x.r < y.r : x.r > y.r); });
int L = 1, R = 0;
lep(i, 1, m) { l = q[i].l, r = q[i].r, op = q[i].op, x = q[i].x;
while (R < r) Add(a[++R]);
while (l < L) Add(a[--L]);
while (r < R) Del(a[R--]);
while (L < l) Del(a[L++]);
bool flag = false;
if (op == 1) { if ((S & (S << x)).any()) flag = true; }
else if (op == 2) { if ((S & (T >> (V - x))).any()) flag = true; }
else {
for (int i = 1; 1ll * i * i <= x; ++i)
if (x % i == 0 and S[i] and S[x / i]) { flag = true; break; }
}
ans[q[i].id] = flag;
}
lep(i, 1, m) puts(ans[i] ? "hana" : "bi");
return 0;
}
SP11470 TTM - To the moon
\(\boldsymbol{标记永久化}\) 。
明确每个点的维护信息就好了。
\(sum_p\) 表示当前区间的和, \(tag_p\) 表示当前区间的数都加上了这个值。
所以 \(PushUp(p)\) 时要考虑 \(tag\) 的贡献,就像平衡树。
sum[p] = sum[ls] + sum[rs] + (r - l + 1) * tag[p]
点击查看
#include <bits/stdc++.h>
#define lep(i, a, b) for (int i = a; i <= b; ++i)
#define rep(i, a, b) for (int i = a; i >= b; --i)
const int _ = 1e5 + 7;
typedef long long ll;
int n, m, a[_], rt[_], ls[_ << 5], rs[_ << 5], tot, t;
ll sum[_ << 5], tag[_ << 5];
void PushUp(int p, int s, int t) { sum[p] = sum[ls[p]] + sum[rs[p]] + tag[p] * (t - s + 1); }
void Build(int l, int r, int& p) {
p = ++tot;
if (l == r) { sum[p] = a[l]; return; } int mid = (l + r) >> 1;
Build(l, mid, ls[p]), Build(mid + 1, r, rs[p]); PushUp(p, l, r);
}
void Modify(int l, int r, int s, int t, int d, int f, int& p) {
if (r < s or t < l) return;
p = ++tot, ls[p] = ls[f], rs[p] = rs[f], tag[p] = tag[f], sum[p] = sum[f];
if (l <= s and t <= r) { tag[p] += d, sum[p] += (t - s + 1) * d; return; } int mid = (s + t) >> 1;
Modify(l, r, s, mid, d, ls[f], ls[p]), Modify(l, r, mid + 1, t, d, rs[f], rs[p]); PushUp(p, s, t);
}
ll Query(int l, int r, int s, int t, ll tg, int p) {
if (!p or r < s or t < l) return 0;
if (l <= s and t <= r) return tg * (t - s + 1) + sum[p]; tg += tag[p]; int mid = (s + t) >> 1;
return Query(l, r, s, mid, tg, ls[p]) + Query(l, r, mid + 1, t, tg, rs[p]);
}
int main() {
std::ios::sync_with_stdio(false), std::cin.tie(nullptr), std::cout.tie(nullptr);
std::cin >> n >> m;
lep(i, 1, n) std::cin >> a[i]; Build(1, n, rt[0]);
int l, r, d; char op;
while (m--) {
std::cin >> op;
if (op == 'C') std::cin >> l >> r >> d, ++t, Modify(l, r, 1, n, d, rt[t - 1], rt[t]);
else if (op == 'Q') std::cin >> l >> r, printf("%lld\n", Query(l, r, 1, n, 0, rt[t]));
else if (op == 'H') std::cin >> l >> r >> d, printf("%lld\n", Query(l, r, 1, n, 0, rt[d]));
else std::cin >> d, t = d;
}
return 0;
}
P8528 [Ynoi2003] 铃原露露
\(\boldsymbol{dsu\_on\_tree , 吉司机线段树, 容斥}\) 。
正难则反。
考虑什么样的区间无法造成贡献。
对于两个点 \(x\) , \(y\) 的 \(LCA\) \(z\) ,

如果 \(x < y < z\) , 那么满足 \(l\le x\) \(\wedge\) \(y\le r < z\) 的区间不合法。
如果 \(z < y < x\) , 那么满足 \(z < l \le y\) \(\wedge\) \(r\ge x\) 的区间不合法。
同时,所有 \(l > r\) 的区间不合法。
将所有不合法的区间看做矩形覆盖。
每次询问相当于二维数 \(0\) 的个数。

看到子区间问题考虑历史版本和,同时,我们可以用最小值来刻画 \(0\) 。
吉司机线段树即可。
现在来考虑如何获得所有的矩形。
先固定 \(z\) ,然后对于每个子树,考虑和之前子树内的前驱和后继,然后发现可以保留下一个子树。
dsu on tree 统计即可。
点击查看
#include <bits/stdc++.h>
#define lep(i, a, b) for (int i = a; i <= b; ++i)
#define rep(i, a, b) for (int i = a; i >= b; --i)
const int _ = 2e5 + 7;
typedef long long ll;
struct Info {
ll ans; int mn, mnc, l, r;
Info(ll _ans = 0, int _mn = 0, int _mnc = 0, int _l = 0, int _r = 0) { ans = _ans, mn = _mn, mnc = _mnc, l = _l, r = _r; }
friend Info operator + (const Info& x, const Info& y) {
if (x.mn < y.mn) return Info(x.ans + y.ans, x.mn, x.mnc, x.l, y.r);
if (y.mn < x.mn) return Info(x.ans + y.ans, y.mn, y.mnc, x.l, y.r);
return Info(x.ans + y.ans, x.mn, x.mnc + y.mnc, x.l, y.r);
}
}tr[_ << 2];
struct Tag {
int tc, add;
Tag(int _tc = 0, int _add = 0) { tc = _tc, add = _add; }
friend Tag operator + (const Tag& x, const Tag& y) { return Tag(x.tc + y.tc, x.add + y.add); }
bool NE() { return tc or add; }
Tag ex() { return Tag(0, add); }
}tag[_ << 2];
Info operator * (const Info& x, const Tag& y) { return Info(x.ans + x.mnc * y.tc, x.mn + y.add, x.mnc, x.l, x.r); }
struct node { int l, r, op; }q[_];
int n, m, a[_], fa[_], rt, sz[_], son[_];
std::vector <int> e[_];
std::set <int> S, T; ll ans[_];
std::vector <node> Q[_];
#define ls p << 1
#define rs p << 1 | 1
void PushUp(int p) { tr[p] = tr[ls] + tr[rs]; }
void UpdVal(int p, const Tag& k) { tr[p] = tr[p] * k, tag[p] = tag[p] + k; }
void PushDown(int p) {
if (tag[p].NE()) { int l = tr[ls].mn, r = tr[rs].mn;
if (l <= r) UpdVal(ls, tag[p]);
else UpdVal(ls, tag[p].ex());
if (r <= l) UpdVal(rs, tag[p]);
else UpdVal(rs, tag[p].ex());
tag[p] = Tag();
}
}
void Build(int l, int r, int p) {
if (l == r) return tr[p] = { 0, 0, 1, l, l }, void(); int mid = (l + r) >> 1;
Build(l, mid, ls), Build(mid + 1, r, rs); PushUp(p);
}
void Modify(int l, int r, const Tag& k, int p) {
if (r < tr[p].l or tr[p].r < l) return;
if (l <= tr[p].l and tr[p].r <= r) {
if (k.tc and tr[p].mn != 0) return;
return UpdVal(p, k);
} PushDown(p);
Modify(l, r, k, ls), Modify(l, r, k, rs); PushUp(p);
}
Info Query(int l, int r, int p) {
if (l <= tr[p].l and tr[p].r <= r) return tr[p]; PushDown(p);
if (r <= tr[ls].r) return Query(l, r, ls); if (tr[rs].l <= l) return Query(l, r, rs);
return Query(l, r, ls) + Query(l, r, rs);
}
#undef ls
#undef rs
void Init(int u) {
sz[u] = 1;
for (int v : e[u]) {
Init(v), sz[u] += sz[v];
if (sz[v] > sz[son[u]]) son[u] = v;
}
}
void Merge() {
if (S.size() < T.size()) std::swap(S, T);
for (int v : T) S.insert(v); T.clear();
}
void Dfs(int u, int z) {
T.insert(u);
auto p = S.lower_bound(u), q = p;
if (p != S.begin()) { --p;
if (u < z) Q[u].push_back((node){ 1, *p, 1 }), Q[z].push_back((node){ 1, *p, -1 });
if (z < *p) Q[u].push_back((node){ z + 1, *p, 1 });
}
if (q != S.end()) {
if (*q < z) Q[*q].push_back((node){ 1, u, 1 }), Q[z].push_back((node){ 1, u, -1 });
if (z < u) Q[*q].push_back((node){ z + 1, u, 1 });
}
for (int v : e[u]) Dfs(v, z);
}
void Solve(int u, bool del) {
for (int v : e[u]) if (v != son[u]) Solve(v, true);
if (son[u]) Solve(son[u], false);
S.insert(u);
for (int v : e[u]) if (v != son[u]) Dfs(v, u), Merge();
if (del) S.clear();
}
void Add(int x) {
for (auto k : Q[x]) Modify(k.l, k.r, Tag(0, k.op), 1);
Modify(1, x, Tag(1), 1);
}
int main() {
scanf("%d%d", & n, & m); Build(1, n, 1);
lep(i, 1, n) scanf("%d", a + i);
lep(i, 2, n) scanf("%d", fa + i), e[a[fa[i]]].push_back(a[i]);
rt = a[fa[2]];
Init(rt), Solve(rt, false); int l, r;
lep(i, 1, m) scanf("%d%d", & l, & r), q[i] = { l, r, i };
std::sort(q + 1, q + 1 + m, [](const node& x, const node& y) { return x.r < y.r; });
int R = 0;
lep(i, 1, m) {
while (R < q[i].r) Add(++R);
ans[q[i].op] += Query(q[i].l, q[i].r, 1).ans;
}
lep(i, 1, m) printf("%lld\n", ans[i]);
return 0;
}
P6220 [COCI 2019/2020 #6] Skandi
\(\boldsymbol{二分图最大匹配,König 定理}\) 。
每个 \(0\) 节点合法有两种可能,一是左侧的 \(1\) 向右,二是上面的 \(1\) 向下。
将每个 \(1\) 向右和向下两种操作拆成两部点,每个 \(0\) 相当于一条边链接了两部点。
选出一个点集覆盖所有边,最小化点集大小。
最小点覆盖输出方案,我们有 \(König\) 定理。
具体的,先求出最大匹配,然后对于每个未被匹配的右部点,遍历所有的交错路,标记沿途的所有点。
最后,被标记的左部点和未被标记的右部点即最小点覆盖集。
交错路指的是,从左往右走匹配边,从右往左走非匹配边。
点击查看
#include <bits/stdc++.h>
#define lep(i, a, b) for (int i = a; i <= b; ++i)
#define rep(i, a, b) for (int i = a; i >= b; --i)
const int _ = 1e3 + 7;
int n, m, a[_][_], col[_], row[_], mtc[_ * _], uid[_ * _], ans;
std::vector <int> e[_ * _];
std::bitset <_ * _> vis, un;
int id(int op, int x, int y) { return op * n * m + (x - 1) * m + y; }
void Add(int x, int y) { e[x].push_back(y), e[y].push_back(x); }
bool Dfs(int u) {
for (int v : e[u]) {
if (vis[v]) continue; vis[v] = true;
if (!mtc[v] or Dfs(mtc[v])) {
mtc[v] = u, uid[u] = v;
return true;
}
}
return false;
}
void Sgn(int u) {
un[u] = true;
if (u <= n * m) {
if (uid[u]) Sgn(uid[u]);
return;
}
for (int v : e[u])
if (v != mtc[u] and !un[v])
Sgn(v);
}
int main() {
scanf("%d%d", & n, & m);
lep(i, 1, n) lep(j, 1, m) scanf("%1d", a[i] + j);
lep(i, 1, n) {
lep(j, 1, m) {
if (a[i][j]) row[i] = col[j] = id(0, i, j);
else Add(row[i], col[j] + n * m);
}
}
lep(i, 1, n) lep(j, 1, m) if (a[i][j] and Dfs(id(0, i, j))) vis.reset(), ++ans;
lep(i, 1, n) lep(j, 1, m)
if (a[i][j] and !mtc[id(1, i, j)]) Sgn(id(1, i, j));
printf("%d\n", ans);
lep(i, 1, n) lep(j, 1, m) if (a[i][j]) {
if (un[id(0, i, j)]) printf("%d %d DESNO\n", i, j);
if (!un[id(1, i, j)]) printf("%d %d DOLJE\n", i, j);
}
return 0;
}
AT_arc076_d [ARC076F] Exhausted?
\(\boldsymbol{Hall 定理}\) 。
对于一张二分图,定义 \(S\) 为左部点中的任意点集, \(N(S)\) 为与这个点集中的至少一个点相连的点。
设左部点有 \(n\) 个,右部点有 \(m\) 个。
则最大匹配数 = \(n - \max\{0, n - m, \max\{|S|-|N(S)|\}\}\) 。
这个题目要求我们求后面的部分。
即我们现在有若干组上界和下界,选出其中的一部分,最大化 选出的组数 - 所有组的并。
根据德摩根定律,我们现在的问题变成了:
有 \(m\) 条线段,选出 \(k\) 条线段,最大化 \(k - m + \bigcap_{i=1}^k [l_i, r_r]\) 。
我们并不好刻画若干条线段的交,所以我们直接枚举交。
固定当前交区间的左端点 \(L\),对于一个右端点 \(R\) ,其贡献为 \(R - L + 1 - m + \sum_i[l_i\le L \wedge R \le r_i]\) 。
扫描线,将满足 \(l \le L\) 的线段插入一个数据结构,现在我们要最大化 \(R + \sum_i{r_i\ge R}\) 。
初始每个位置 \(i\) 的值都是 \(i\) ,每插入一条线段,就讲 \(r\) 这个前缀的值都 \(+1\) 。
线段树即可。
点击查看
#include <bits/stdc++.h>
#define lep(i, a, b) for (int i = a; i <= b; ++i)
#define rep(i, a, b) for (int i = a; i >= b; --i)
const int _ = 2e5 + 7;
typedef long long ll;
int n, m, ans, c[_];
int mx[_ << 2], tag[_ << 2];
std::vector <int> q[_];
#define ls p << 1
#define rs p << 1 | 1
void PushUp(int p) { mx[p] = std::max(mx[ls], mx[rs]); }
void Build(int l, int r, int p) {
if (l == r) { mx[p] = l; return; } int mid = (l + r) >> 1;
Build(l, mid, ls), Build(mid + 1, r, rs); PushUp(p);
}
void Upd(int p, int k) { mx[p] += k, tag[p] += k; }
void PushDown(int p) { if (tag[p]) Upd(ls, tag[p]), Upd(rs, tag[p]), tag[p] = 0; }
void Modify(int l, int r, int s, int t, int k, int p) {
if (r < s or t < l) return;
if (l <= s and t <= r) return Upd(p, k); PushDown(p); int mid = (s + t) >> 1;
Modify(l, r, s, mid, k, ls), Modify(l, r, mid + 1, t, k, rs); PushUp(p);
}
int Query(int l, int r, int s, int t, int p) {
if (r < s or t < l) return 0;
if (l <= s and t <= r) return mx[p]; PushDown(p); int mid = (s + t) >> 1;
return std::max(Query(l, r, s, mid, ls), Query(l, r, mid + 1, t, rs));
}
#undef ls
#undef rs
int main() {
scanf("%d%d", & n, & m); int l, r; Build(1, m, 1);
lep(i, 1, n) {
scanf("%d%d", & l, & r);
if (l + 1 < r) q[l + 1].push_back(r - 1);
}
lep(l, 1, m) {
for (int r : q[l]) Modify(l, r, 1, m, 1, 1);
ans = std::max(ans, Query(l, r, 1, m, 1) + 1 - l - m);
}
ans = std::max(n - m, ans);
printf("%d\n", ans);
return 0;
}
P5443 [APIO2019] 桥梁
\(\boldsymbol{根号重构}\) 。
每 \(B\) 个修改操作一组,统一处理之间的询问。
对于这个题来说,先将修改未涉及的符合条件的边加入图,然后枚举被修改的边,如果符合条件就加入。
注意同一条边可能被修改多次,所以应该判断时间上符合条件的(同一条)边中最后加入的是否合法。
如果在询问前为修改这条边,则按照其初始值是否合法加入。
每统一处理完一次,进行所有修改操作。
点击查看
#include <bits/stdc++.h>
#define lep(i, a, b) for (int i = a; i <= b; ++i)
#define rep(i, a, b) for (int i = a; i >= b; --i)
const int _ = 4e6 + 7;
typedef long long ll;
typedef std::bitset <_> Bit;
struct edge { int u, v, d; }e[_];
struct node { int op, b, r, t; }o[_], q[_]; int Q;
int n, m, fa[_], sz[_], qry, id[_]; Bit ch;
int stk[_], top, bot, ans[_], lst[_];
int Find(int x) { return fa[x] == x ? x : Find(fa[x]); }
void Merge(int x, int y) {
if ((x = Find(x)) != (y = Find(y))) {
if (sz[x] > sz[y]) std::swap(x, y);
stk[++top] = x, fa[x] = y, sz[y] += sz[x];
}
}
void Back() { int x;
while (top != bot)
x = stk[top--], sz[fa[x]] -= sz[x], fa[x] = x;
}
int main() {
scanf("%d%d", & n, & m);
lep(i, 1, m) scanf("%d%d%d", & e[i].u, & e[i].v, & e[i].d), id[i] = i;
scanf("%d", & qry); int B = 1500, op, tim0 = 0, tim1 = 0;
lep(Q, 1, qry) {
scanf("%d", & op);
if (op == 1) ++tim0, scanf("%d%d", & o[tim0].b, & o[tim0].r), o[tim0].t = Q, ch[o[tim0].b] = true;
else ++tim1, scanf("%d%d", & q[tim1].b, & q[tim1].r), q[tim1].t = Q;
if (Q == qry or tim0 + tim1 == B) {
lep(i, 1, n) fa[i] = i, sz[i] = 1;
std::sort(id + 1, id + 1 + m, [](const int& x, const int& y) {
return e[x].d > e[y].d;
});
auto cmp = [](const node&x, const node& y) { return x.r > y.r; };
std::sort(o + 1, o + tim0 + 1, cmp), std::sort(q + 1, q + tim1 + 1, cmp);
int R = 1;
lep(i, 1, tim1) {
while (R <= m and (e[id[R]].d >= q[i].r or ch[id[R]])) {
if (!ch[id[R]]) Merge(e[id[R]].u, e[id[R]].v);
++R;
} bot = top;
lep(j, 1, tim0) if (o[j].t < q[i].t) lst[o[j].b] = std::max(lst[o[j].b], o[j].t);
lep(j, 1, tim0) {
if (o[j].r >= q[i].r and o[j].t == lst[o[j].b]) Merge(e[o[j].b].u, e[o[j].b].v);
else if (!lst[o[j].b] and e[o[j].b].d >= q[i].r) Merge(e[o[j].b].u, e[o[j].b].v);
}
lep(j, 1, tim0) lst[o[j].b] = 0;
ans[q[i].t] = sz[Find(q[i].b)]; Back();
}
std::sort(o + 1, o + tim0 + 1, [](const node&x, const node&y) { return x.t < y.t; });
lep(i, 1, tim0) e[o[i].b].d = o[i].r;
ch.reset(), tim0 = tim1 = top = 0;
}
}
lep(i, 1, qry) if (ans[i]) printf("%d\n", ans[i]);
return 0;
}
P2137 Gty的妹子树
\(\boldsymbol{树分块}\) 。
我们规定,每个块的大小最大为 \(B\) ,块内一定联通。
一条边,如果端点在同一个块内,则称其为实边,否则为虚边。
每个连出虚边的点我们称其为这个块的叶子,被虚边连接的点我们称其为这个块的根。

图中是 \(B = 4\) 的一种情况,红色边框起来的就是一个块,黄色点是根,蓝色点是叶子,蓝色边是虚边。
对于每个点维护一个信息集合。
如果其不为叶子,则维护其本身信息。
否则,再加上虚边连出的子树内所有节点的信息。
每次修改一个点,就存储其信息的叶子全部修改。
到根链上最多有 \(\frac{N}{B}\) 条虚边,最多修改 \(\frac{N}{B}\) 次。
查询信息直接遍历所在块内子树的信息集合即可。
连边时,如果父亲所在块大小未达到 \(B\) ,则与父亲归为一个块。
否则,自成一个块,根就是自己。
取 \(B = \sqrt n\) ,则复杂度为 \(O(n\sqrt n \times f(n))\) , \(f(n)\) 是数据结构的均摊复杂度 。
点击查看
#include <bits/stdc++.h>
#define lep(i, a, b) for (int i = a; i <= b; ++i)
#define rep(i, a, b) for (int i = a; i >= b; --i)
const int _ = 2e6 + 7;
typedef long long ll;
int n, m, rt[_], bel[_], cnt[_], scc, a[_], top[_], fa[_], B, ans;
int val[_], rnd[_], ls[_], rs[_], sz[_], tot, x, y, z;
std::vector <int> e[_], g[_];
int New(int x) { ++tot; val[tot] = x, rnd[tot] = rand(), ls[tot] = rs[tot] = 0, sz[tot] = 1; return tot; }
void PushUp(int x) { sz[x] = sz[ls[x]] + sz[rs[x]] + 1; }
void Split(int p, int v, int& x, int& y) {
if (!p) { x = y = 0; return; }
if (val[p] <= v) x = p, Split(rs[p], v, rs[x], y);
else y = p, Split(ls[p], v, x, ls[y]); PushUp(p);
}
void Split_k(int p, int k, int&x, int& y) {
if (!p) { x = y = 0; return; }
if (sz[ls[p]] + 1 <= k) x = p, Split_k(rs[p], k - sz[ls[p]] - 1, rs[x], y);
else y = p, Split_k(ls[p], k, x, ls[y]); PushUp(p);
}
int Merge(int x, int y) {
if (!x or !y) return x | y;
if (rnd[x] > rnd[y]) { rs[x] = Merge(rs[x], y), PushUp(x); return x; }
else { ls[y] = Merge(x, ls[y]), PushUp(y); return y; }
}
void Mdy(int v, int& rt) { Split(rt, v, x, y), rt = Merge(x, Merge(New(v), y)); }
void Del(int v, int& rt) { Split(rt, v - 1, x, z), Split_k(z, 1, y, z), rt = Merge(x, z); }
int Qry(int v, int& rt) { Split(rt, v, x, y); int res = sz[y]; rt = Merge(x, y); return res; }
void Mdy(int u) { int p = u;
while (fa[top[bel[u]]]) {
Mdy(a[p], rt[fa[top[bel[u]]]]);
u = fa[top[bel[u]]];
}
}
void Del(int u) { int p = u;
while (fa[top[bel[u]]]) {
Del(a[p], rt[fa[top[bel[u]]]]);
u = fa[top[bel[u]]];
}
}
void Ins(int u, int f) {
rt[u] = New(a[u]), fa[u] = f; g[f].push_back(u);
if (f and cnt[bel[f]] < B) bel[u] = bel[f], ++cnt[bel[f]];
else bel[u] = ++scc, top[scc] = u, cnt[scc] = 1;
Mdy(u);
}
void Init(int u, int f) {
Ins(u, f);
for (int v : e[u]) if (v != f) Init(v, u);
}
int qry(int u, int k) { int res = Qry(k, rt[u]);
for (int v : g[u])
if (bel[v] == bel[u]) res += qry(v, k);
return res;
}
int main() {
scanf("%d", & n); int u, v; B = std::sqrt(n);
lep(i, 2, n) scanf("%d%d", & u, & v),
e[u].push_back(v), e[v].push_back(u);
lep(i, 1, n) scanf("%d", a + i);
Init(1, 0);
scanf("%d", & m);
int op, x, y;
while (m--) {
scanf("%d%d%d", & op, & x, & y); x ^= ans, y ^= ans;
if (op == 0) printf("%d\n", ans = qry(x, y));
else if (op == 1) {
Del(a[x], rt[x]), Del(x); a[x] = y;
Mdy(a[x], rt[x]), Mdy(x);
}
else a[++n] = y, Ins(n, x);
}
return 0;
}
AT_joisc2016_h 回転寿司
\(\boldsymbol{分块,延迟重整}\) 。
ps: 延迟重整是我自己起的名字。
先考虑每次操作,遍历序列,将大于当前值的与当前值交换,一定会得到这个序列的最大值,而其他值会变动位置。
考虑分块,散块暴力统计,整块可以用数据结构查询最大值,然后删去,插入当前值。
但是这样统计散块时顺序就是错误的,我们需要对散块进行重整来保证正确。
现在我们得知了这个块内都有过什么新的元素加入。
这些元素中,最小的元素是不会被其他元素影响的,所以我们优先考虑他。
找到第一个大于他的位置交换。
容易发现,这个位置的值已经固定了,且在他之前的位置一定不会改变(因为这是最小的值)。
并且,尽管这个最小值加入的时间不一定是最早的,但它最终一定会停在这个位置上。
所以我们维护一个小根堆,每次遇到可以交换的就与堆顶交换。
最后将小根堆清空即可。
点击查看
#include <bits/stdc++.h>
#define lep(i, a, b) for (int i = a; i <= b; ++i)
#define rep(i, a, b) for (int i = a; i >= b; --i)
const int _ = 4e5 + 7;
typedef long long ll;
int n, q, a[_], block, bel[_], st[_], ed[_];
std::priority_queue <int> B[_];
std::priority_queue <int, std::vector <int>, std::greater<int> > S[_];
void Chg(int x) {
if (S[x].empty()) return;
lep(i, st[x], ed[x]) if (a[i] > S[x].top())
S[x].push(a[i]), a[i] = S[x].top(), S[x].pop();
while (!S[x].empty()) S[x].pop();
}
void SWP(int l, int r, int& y) {
lep(i, l, r) if (a[i] > y) std::swap(a[i], y);
while (!B[bel[l]].empty()) B[bel[l]].pop();
lep(i, st[bel[l]], ed[bel[l]]) B[bel[l]].push(a[i]);
}
void Upd(int x, int& y) { if (B[x].top() > y) B[x].push(y), S[x].push(y), y = B[x].top(), B[x].pop(); }
int main() {
scanf("%d%d", & n, & q); block = std::sqrt(n);
lep(i, 1, n) {
scanf("%d", a + i), bel[i] = (i - 1) / block + 1;
B[bel[i]].push(a[i]);
if (!st[bel[i]]) st[bel[i]] = i; ed[bel[i]] = i;
} int l, r, x;
while (q--) {
scanf("%d%d%d", & l, & r, & x); Chg(bel[l]), Chg(bel[r]);
if (l <= r) {
if (bel[l] == bel[r]) SWP(l, r, x);
else {
SWP(l, ed[bel[l]], x);
lep(i, bel[l] + 1, bel[r] - 1) Upd(i, x);
SWP(st[bel[r]], r, x);
}
}
else {
SWP(l, ed[bel[l]], x);
lep(i, bel[l] + 1, bel[n]) Upd(i, x);
lep(i, 1, bel[r] - 1) Upd(i, x);
SWP(st[bel[r]], r, x);
}
printf("%d\n", x);
}
return 0;
}
时间仓促,如有错误欢迎指出,欢迎在评论区讨论,如对您有帮助还请点个推荐、关注支持一下

七月训练好题记录
浙公网安备 33010602011771号