信号完整性基础-深入浅出说瞬态阻抗与特性阻抗
阻抗的均匀稳定,对信号的传输至关重要,所以,本文聊一聊阻抗。
瞬态阻抗(Transient Impedance):
瞬态阻抗是指在传输线上的瞬时电阻抗,通常随着时间的变化而变化。它描述了信号在传输线上传播时的阻抗变化情况。
瞬态阻抗通常用于描述信号的上升(rise)和下降(fall)边缘,以及它们与传输线之间的相互作用。
特性阻抗(Characteristic Impedance):
特性阻抗是指传输线或电缆本身的固有阻抗,通常是一个恒定的值。它与传输线的几何形状、介质特性以及信号传播速度等因素有关。
特性阻抗在信号完整性中起到重要作用,因为它决定了信号在传输线上的反射和阻抗匹配情况。
瞬态阻抗
瞬态阻抗是指信号在传输线上传播时,信号感受到的瞬态阻抗与单位长度电容和材料的介电常数有关。
举例:
瞬态阻抗可以用来描述信号在传输线上的传输特性,如果信号在传输线上的每一点感受到的阻抗都相同,那么我们就说传输线阻抗连续;反之,如果信号在传输线上感受到了阻抗变化,则说明传输线阻抗不连续。

当信号在传输线上传播时,信号感受到的瞬态阻抗与单位长度电容和材料的介电常数有关,可表示为:
这个公式的推导过程如

而电流的推导可以由以下式子求得:

如果PCB上线条的厚度和宽度不变,并且走线和返回平面间距离不变,那么信号感受到的瞬态阻抗就不变,传输线是均匀的。对于均匀传输线,恒定的瞬态阻抗说明了传输线的特性,称为特性阻抗
2. 特性阻抗
对于均匀传输线,当信号在上面传播时,在任何一处受到的瞬态阻抗都是相同的。在瞬态阻抗不变时,我们将其称为特性阻抗。
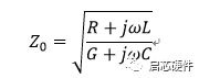
传输线的特性阻抗Z0定义为线上任意点的电压和电流的比值,即Z0=V/I. 由电报方程可以推导出阻抗的经典计算公式:

如果PCB上线条的厚度增大或者宽度增加,单位长度电容增加,特性阻抗就变小。同样,走线和返回平面间距离减小,电容增大,特性阻抗也减小。其中,R、L、G、C分别表示单位长度的电阻、电感、电导和电容。通常,因为R和G都比其他项要小得多而忽略不计,特征阻抗近似为
特性阻抗可以用来描述信号在传输线上传输时的传输特性,如果传输线的特性阻抗与信号的特性阻抗相等,则信号在传输线上的传输损耗最小,传输效率最高。
重要推导之一:50 欧姆阻抗的计算由来
由特性阻抗的公式,可以看出只要传输线的横截面和材料特性这两个参数保持不变,信号受到的瞬态阻抗就是一个常数。由于信号的的速度取决于材料特性,所以,可以得出传输线单位长度电容和瞬态阻抗的关系。例如,若介电常数为4,单位长度电容为3.3pf/in,则传输线的瞬态阻抗为,

重要推导之二:自由空间的特性阻抗
一个很重要的特性阻抗就是自由空间的特性阻抗,也叫自由空间的波阻抗,在EMC中非常重要。自由空间特性阻抗为。
重要推导之三:单位长度电容与单位长度电感
FR4板材的PCB板上,特性阻抗传输线另一个特性是:
单位长度电容=3.3pF/in
单位长度电感=8.3nH/i
解这些特殊的特性阻抗,对于设计电路板有重要的参考意义,能让我们在制作电路前有个直觉的认识。
类比分析
为了深入浅出地理解瞬态阻抗与特性阻抗之间的关系,可以将其类比为水管系统:
想象一下,你有一根水管,水要从一端流向另一端。这根水管就好比传输线路,而水就好比电流。我们将用这个类比来说明瞬态阻抗和特性阻抗的概念:
特性阻抗就像水管本身的材质和大小。不同类型的水管(比如,铜管和塑料管)有不同的特性阻抗。这些特性阻抗决定了水在管内流动时的速度和阻力。
当你将两根不同特性阻抗的水管连接在一起时,水会在它们之间发生变化。如果特性阻抗匹配得好,水就能够平稳地从一根水管流向另一根,不会发生反射或损失。
特性阻抗就像水管的内径和材质,它们是水在管内流动时的固有属性,不随时间变化。
现在,想象你在水管中快速地开关一个阀门,让水流开始或停止。这个瞬间,水在管内会发生瞬态变化。这种瞬时变化就好比瞬态阻抗。
瞬态阻抗描述的是在水流开始或停止时,水在管内的急剧变化。这会导致水流的快速上升或下降,就像电信号的上升或下降边沿一样。
正如水流的急剧变化会受到管道内部和外部条件的影响,电信号的瞬态阻抗也受到传输线路和连接器等因素的影响。
二者的关系:
在这个类比中,特性阻抗类似于水管的属性,而瞬态阻抗类似于水流的瞬时变化。特性阻抗决定了电信号在传输线路中的传播速度和反射情况,就像水管的大小和材质影响水的流动一样。而瞬态阻抗则描述了电信号的变化速度,就像水流在阀门开关时会急剧变化一样。
在高速数字系统中,了解和管理特性阻抗和瞬态阻抗对于确保信号完整性至关重要,就像在水管系统中管理水流一样。匹配特性阻抗和控制瞬态阻抗可以减少信号的反射和失真,从而提高系统性能。
本文使用 文章同步助手 同步




浙公网安备 33010602011771号