会员
周边
新闻
博问
闪存
众包
赞助商
Chat2DB
所有博客
当前博客
我的博客
我的园子
账号设置
会员中心
简洁模式
...
退出登录
注册
登录
球鱼科技
博客园
首页
新随笔
联系
订阅
管理
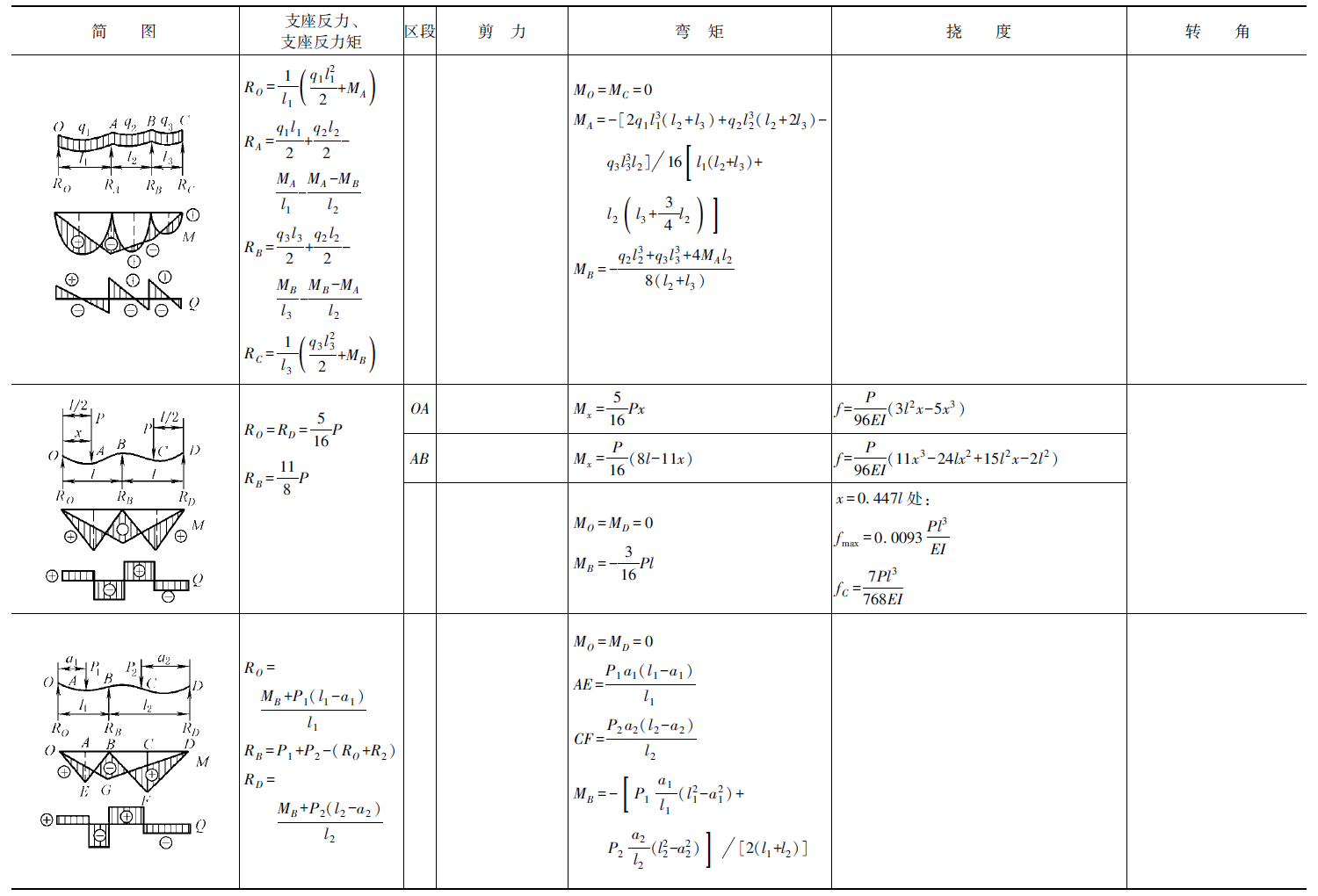
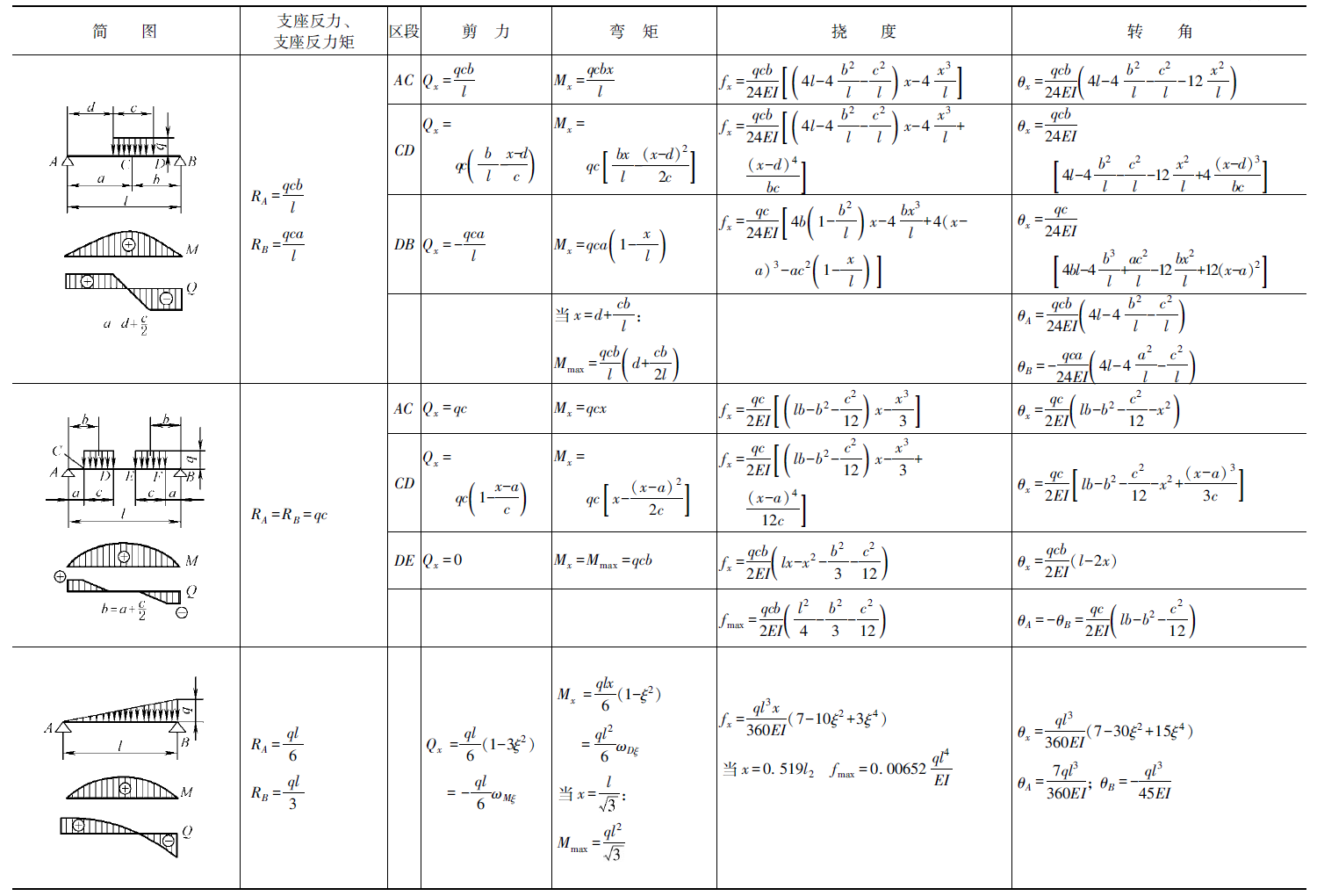
受静载荷梁的内力及变位计算公式
posted @
2024-01-04 15:26
小球鱼
阅读(
44
) 评论(
0
)
收藏
举报
刷新页面
返回顶部
公告