leetcode刷题_PYTHON(7):链表(7)删除排序链表中的重复元素
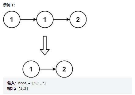
存在一个按升序排列的链表,给你这个链表的头节点 head ,请你删除所有重复的元素,使每个元素 只出现一次 。
返回同样按升序排列的结果链表。



思路
标签:链表
指定 cur 指针指向头部 head
当 cur 和 cur.next 的存在为循环结束条件,当二者有一个不存在时说明链表没有去重复的必要了
当 cur.val 和 cur.next.val 相等时说明需要去重,则将 cur 的下一个指针指向下一个的下一个,这样就能达到去重复的效果
如果不相等则 cur 移动到下一个位置继续循环
时间复杂度:O(n)O(n)
/** * Definition for singly-linked list. * public class ListNode { * int val; * ListNode next; * ListNode(int x) { val = x; } * } */ class Solution { public ListNode deleteDuplicates(ListNode head) { ListNode cur = head; while(cur != null && cur.next != null) { if(cur.val == cur.next.val) { cur.next = cur.next.next; } else { cur = cur.next; } } return head; } } 作者:guanpengchn 链接:https://leetcode-cn.com/problems/remove-duplicates-from-sorted-list/solution/hua-jie-suan-fa-83-shan-chu-pai-xu-lian-biao-zhong/ 来源:力扣(LeetCode) 著作权归作者所有。商业转载请联系作者获得授权,非商业转载请注明出处。



本文来自博客园,作者:秋华,转载请注明原文链接:https://www.cnblogs.com/qiu-hua/p/15259459.html

浙公网安备 33010602011771号