leetcode刷题_PYTHON(2):链表(2)删除链表的倒数第 N 个结点
给你一个链表,删除链表的倒数第 n 个结点,并且返回链表的头结点。
进阶:你能尝试使用一趟扫描实现吗?
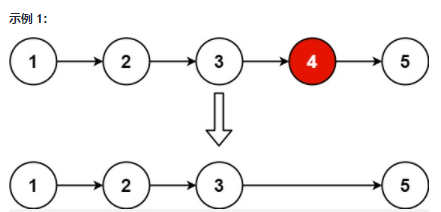
示例 1:

输入:head = [1,2,3,4,5], n = 2
输出:[1,2,3,5]
示例 2:
输入:head = [1], n = 1
输出:[]
示例 3:
输入:head = [1,2], n = 1
输出:[1]
提示:
链表中结点的数目为 sz
1 <= sz <= 30
0 <= Node.val <= 100
1 <= n <= sz
# Definition for singly-linked list. # class ListNode: # def __init__(self, val=0, next=None): # self.val = val # self.next = next class Solution: def removeNthFromEnd(self, head: ListNode, n: int) -> ListNode: slow,end=ListNode(-1,head),head for i in range(n): end=end.next flag=False while end: end=end.next slow=slow.next flag=True slow.next=slow.next.next return slow.next if not flag else head
作者:lsh40
链接:https://leetcode-cn.com/problems/remove-nth-node-from-end-of-list/solution/shan-chu-lian-biao-dao-shu-di-kge-jie-di-5i86/
来源:力扣(LeetCode)
著作权归作者所有。商业转载请联系作者获得授权,非商业转载请注明出处。
本文来自博客园,作者:秋华,转载请注明原文链接:https://www.cnblogs.com/qiu-hua/p/15259384.html

浙公网安备 33010602011771号