【深度学习数学基础:线性代数】3. 线性空间及线性映射:3.4 仿射子集
3. 线性空间及线性映射
3.4 仿射子集
若 \(\boldsymbol{V}\) 是向量空间且 \(\boldsymbol{U}\) 是 \(\boldsymbol{V}\) 的子空间,有 \(\boldsymbol{v} \in \boldsymbol{V}\)(\(\boldsymbol{v}\) 可以属于 \(\boldsymbol{U}\) 也可以不属于 \(\boldsymbol{U}\)),则称 \(\boldsymbol{v} + \boldsymbol{U}\) 是 \(\boldsymbol{V}\) 的仿射子集。称仿射子集 \(\boldsymbol{v} + \boldsymbol{U}\) 平行于 \(\boldsymbol{U}\)。
注意:仿射子集不一定是子空间,因为它不一定包含 \(\boldsymbol{0}\) 元,也不一定满足封闭性。

- 仿射子集的几何示例解读
-
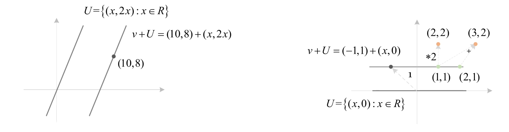
左图:斜率为2的直线平移
- 子空间 \(\boldsymbol{U}\):\(\boldsymbol{U} = \left\{ (x, 2x) \mid x \in \mathbb{R} \right\}\),是 \(\mathbb{R}^2\) 中 过原点、斜率为2的直线(满足子空间封闭性,包含 \(\boldsymbol{0}=(0,0)\))。
- 向量 \(\boldsymbol{v}\):取 \(\boldsymbol{v} = (10, 8)\)(不属于 \(\boldsymbol{U}\),因 \(2 \times 10 = 20 \neq 8\))。
- 仿射子集 \(\boldsymbol{v+U}\):所有形如 \((10+x,\ 8+2x)\) 的向量,几何上是 将 \(\boldsymbol{U}\) 沿 \(\boldsymbol{v}\) 平移的直线(过 \((10,8)\),斜率仍为2,与 \(\boldsymbol{U}\) 平行)。
- 为何不是子空间?
- 不包含 \(\boldsymbol{0}\):若 \((a,b)=(0,0)\),则 \(10+x=0 \Rightarrow x=-10\),但 \(8+2x=-12 \neq 0\),矛盾;
- 不满足封闭性:如子集中 \((10,8)\) 和 \((11,10)\) 相加得 \((21,18)\),代入 \(\boldsymbol{v+U}\) 得 \(8+2x=18 \Rightarrow x=5\),但 \(10+x=15 \neq 21\),故和不在子集中。
-
右图:水平直线的平移
- 子空间 \(\boldsymbol{U}\):\(\boldsymbol{U} = \left\{ (x, 0) \mid x \in \mathbb{R} \right\}\),即 \(\mathbb{R}^2\) 的 x轴(子空间,含 \(\boldsymbol{0}\),对运算封闭)。
- 向量 \(\boldsymbol{v}\):取 \(\boldsymbol{v} = (-1, 1)\)(不属于 \(\boldsymbol{U}\),因y坐标为1≠0)。
- 仿射子集 \(\boldsymbol{v+U}\):所有形如 \((-1+x,\ 1+0)\) 的向量,即 y=1的水平直线(与x轴平行,方向由 \(\boldsymbol{U}\) 决定)。
- 为何不是子空间?
- 不包含 \(\boldsymbol{0}\):y=1,显然 \((0,0)\) 不在此直线;
- 不满足封闭性:如 \((2,1)\) 和 \((3,1)\) 相加得 \((5,2)\),y=2≠1,故和不在子集中;数乘2时,\(2 \times (2,1) = (4,2)\) 也不在子集中。
-
核心结论
仿射子集 \(\boldsymbol{v+U}\) 是 子空间 \(\boldsymbol{U}\) 沿 \(\boldsymbol{v}\) 平移的结果,几何上与 \(\boldsymbol{U}\)“平行”,但因不含 \(\boldsymbol{0}\)、不封闭,故不一定是向量空间。
-
浙公网安备 33010602011771号