【数学建模】建模-整数规划问题
目录
一 整数规划模型(IP)

二 整数规划分类

三 整数规划特点

四 整数规划举例
1 合理下料问题


解:设xj表示用Bj种方式下料的圆钢根数,j=1,2,...,n
建模:
n
minZ = ∑ xj
j=1

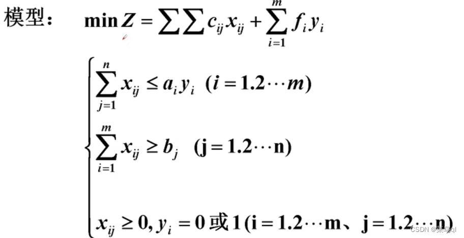
2 建厂问题

解:


解释:
等式:Z即为总运输费用+总建设费用
不等式一:工厂运出量<=工厂生产量
不等式二:运地接受到的运量>=此地销量(条件“满足各地需要”)
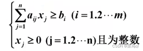
五 整数规划数学模型

依照决策变量取整要求不同,整数规划可分为

解释:
松弛变量:如要满足x1+x2<=10,可设x1+x2+x3=10,当x3>=0时,满足x1+x2<=10。此时称x3为松弛变量,主要解决将<=问题转化为=问题。
剩余变量:如要满足x1+x2>=10,可设x1+x2-x3=10,当x3>=0时,满足x1+x2>=10。此时称-x3为剩余变量。
六 整数线性规划与线性规划的关系

一些简单的推论:

ILP:整数线性规划
七 整数线性规划的求解方法
例:

![]()


当目标范围较小时,可用完全枚举法:按整数规划约束条件,其可行解肯定在线性规划问题的可行域内且为整数点。故整数规划问题的可行解是一个有限集。因此,可将集合内的整数点一一找出,其最大目标函数的值为最优解。
当目标范围较大时,常用的求解整数规划的方法有:分支定界法和割平面法。
对于特别的0-1规划问题(指派问题),采用隐枚举法和匈牙利法。
1.分支定界法

注:
松弛问题:即线性规划问题
ILP:整数线性规划问题
如:求出x=2.3,则可设xi<=2;xi>=3
待补充
浙公网安备 33010602011771号