数学专练
(本篇博客不含题面(但有连接)、详解,主要是关键点和总结)
Ⅰ. Paperfolding
很容易推出答案为:

然后用二项式定理化简,二项式定理如下:

化简之后可得:

最后快速幂+逆元。
Ⅱ. Divisors
观察范围:我们只需要输出前100000项,所以直接大法师。
注意预先 √n 处理因数,并 “适当” 加入 return (即剪枝)。
Ⅲ. So Easy!
推导:

最后矩阵快速幂一下。
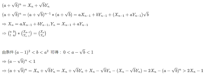
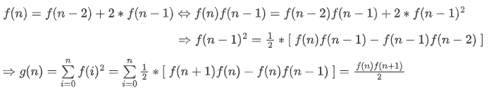
Ⅳ. Mathematician QSC
首先,显然:

考虑怎么化简 g():

到这就完了吗?
想多了,那个 /2 怎么办?在 %S 意义下,2 很有可能没有逆元。
小知识:(读者自证不难)

最后记得求欧拉函数(S可能为非质数)。
Ⅴ. 上升数
遇见这种类型的题,我们一般有两种套路:找倍数删除不合法的,找合法的删除非倍数的
显然对于这道题,我们去数位DP找合法是行不通的,n 有 1e18 的规模。所以,我们需要去找倍数。
不难发现,讨论从右往左的第 x 位,如果它比它的上一位大 Del ,那么整个数增加了 11...1(x 个) * Del 。
那么题面可以等同于:求至多九个完全由1组成的数,它们的和是 k 的倍数的方案数。
由于我们是在找倍数,所以,同余是可以放在一起讨论的,统计出每个余数出现的次数(即:% p == x )。
怎么统计?
暴力枚举 1 , 11 , 111 , 1111 ... 显然这是有周期性的。
现在可以愉快的DP了:
设 f [ i ] [ j ] [ k ] 表示处理过余数为0∼i−1的 ,选择了j个数,当前余数为k的方案数。(状态鬼畜),
枚举 x ,表示选择 x 个余数为 i 的 ,转移至 f [ i + 1 ] [ j + x ] [ ( k + x * i ) % p ] ,
考虑转移系数,由于可以在一个位置多选,所以,该问题为 多重集的组合数 :

最后,初始化:第 n 为必选,所以,f [ 0 ] [ 1 ] [ t ] = 1 ( t 表示 n 个 1 mod p )。
Ⅵ. Relatively Prime Powers
这种题可以往两个方向思考:找合法,去非法。
显然,这道题找合法的似乎有亿点点困难,所以我们去非法的。
非法的一定是某个数的次方(或经转换),比如, 22 * 34 = 182
找出 n 范围内的 每个次方 的数量,进行容斥。

浙公网安备 33010602011771号