协方差和相关系数
1概率
概率 P 是对随机事件发生的可能性的度量。
2期望值
期望值E,在一个离散性随机变量实验中,重复很多次实验,每次实验的结果乘以其出现的概率的总和。
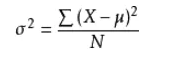
3方差

方差 ,用来度量随机变量取值和其期望值之间的偏离程度,
其中:X 表示随机变量,N 表示样本的个数,表示期望值
4协方差

协方差,字面上看它比方差多一个协字,那么大体也能猜出,它可能是衡量两个随机变量间是不是存在某种关系的。
其中:X, Y 是两个随机变量是对应两个随机变量的均值
如果两个变量是高度同向的,即X变大,Y也变大,那么对应的协方差也就很大;如果每次X变大,Y就变小,那么X和Y的协方差可能就会为负数
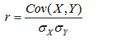
5相关系数

相关系数与协方差紧密相关,只不过又除以了X的标准差和Y的标准差,也就是说,是一种剔除了X和Y这两个偏离程度量纲的影响,标准化后的特殊协方差。
同样可以拿协方差来理解相关系数,若相关系数很大,则可以得到X变大,Y也很可能会变大的结论。

浙公网安备 33010602011771号