DMs
引入

原理
正向扩散



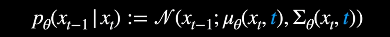
反向过程


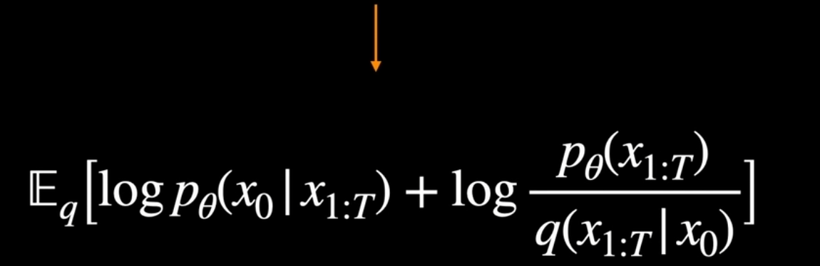
优化(推导略)












条件

音频
NUWAVE
NU-Wave: A Diffusion Probabilistic Model for Neural Audio Upsampling


WSRGlow
WSRGlow: A Glow-based Waveform Generative Model for Audio Super-Resolution

NUWAVE2
NU-Wave 2: A General Neural Audio Upsampling Model for Various Sampling Rates

UDM
Conditioning and Sampling in Variational Diffusion Models for Speech Super-Resolution

相关
Dhariwal & Nichol, 2021
GLIDE: Nichol et al., 2021
Palette: Saharia et al., 2021
DALL-E 2: Ramesh et al., 2022

浙公网安备 33010602011771号