投资问题(动态规划)
1. 问题
设m元钱,n项投资,函数fi(x)表示将x元投入第i项项目所产生的效益,i=1,2,...,n.
问:如何分配这m元钱,使得投资的总效益最高?
2. 解析

我们维护一个二维数组dp,dp[i][j]表示前i个项目投资j元钱的最大效益,使用动态规划时,考虑如何将问题划分成子问题,我们可以先从第一个项目考虑,然后考虑前两个项目,然后前三个项目,到第m个项目时,为m分配x元钱,n-x元钱的最大效益为dp[m-1][n-x],这样我们可以得到递推方程:
dp[x][y]=max{f(x,i)+dp[x-1][y-i]}(i的取值[0,y])
3. 设计
for (int i = 1; i <= n; i++) {
for (int j = 0; j <= money; j++) {
dp[i][j] = 0;
for (int k = 0; k <= j; k++) {
if (dp[i][j] < f[i][k] + dp[i - 1][j - k])
dp[i][j] = f[i][k] + dp[i - 1][j - k];
}
}
}
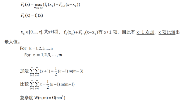
4. 分析

5. 源码
#include <iostream>
#include <math.h>
using namespace std;
const int M = 5;
const int N = 6;
int MaxProfit(int dp[M][N],int f[M][N],int n,int money) {
for (int i = 1; i <= n; i++) {
for (int j = 0; j <= money; j++) {
dp[i][j] = 0;
for (int k = 0; k <= j; k++) {
if (dp[i][j] < f[i][k] + dp[i - 1][j - k])
dp[i][j] = f[i][k] + dp[i - 1][j - k];
}
}
}
return dp[n][money];
}
int main() {
int dp[M][N] = { 0 };
int f[M][N] = { 0,0,0,0,0,0,
0,11,12,13,14,15,
0,0,5,10,15,20,
0,2,10,30,32,40,
0,20,21,22,23,24
};
cout << MaxProfit(dp, f, 4, 5);
return 0;
}

浙公网安备 33010602011771号