深度学习:softmax函数
一般回归问题的激活函数用的是恒等函数,二元分类问题用的是sigmoid函数,而多元分类问题可以使用softmax函数作为激活函数。
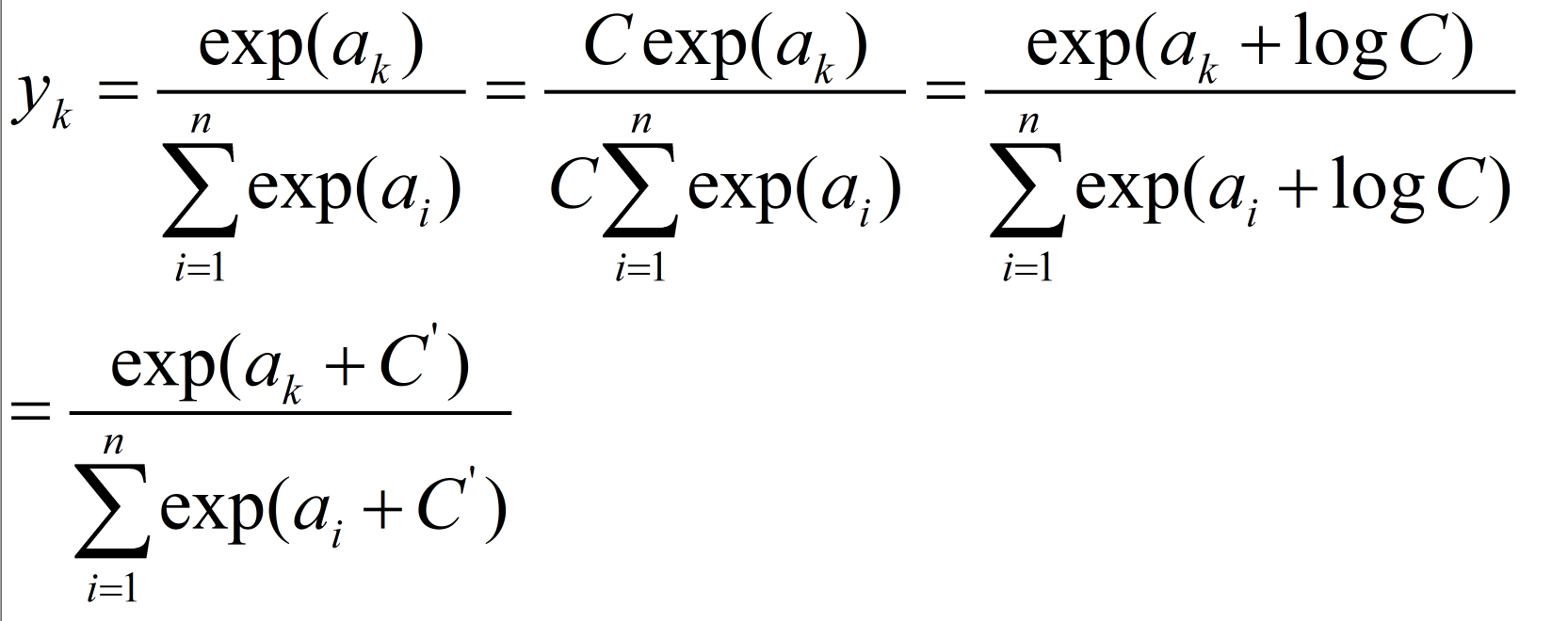
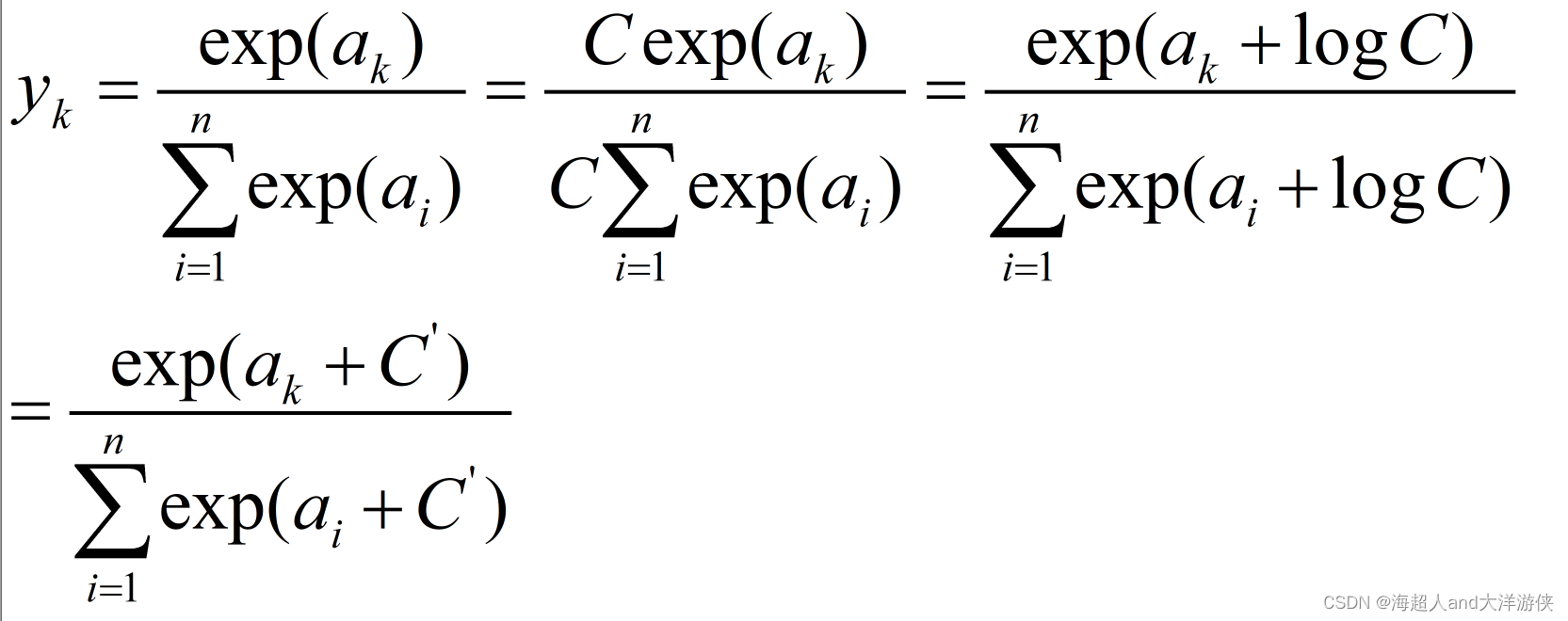
softmax函数式为:

softamx函数用Python实现:
import numpy as np
a = np.array([0.3,2.9,4.0])
exp_a = np.exp(a)
print(exp_a)
sum_exp_a = np.sum(exp_a)
print(sum_exp_a)
y = exp_a / sum_exp_a
print(y)
打印结果:

实际上为了防止计算溢出,也可以对softmax函数进行改进。

C'可以用任何值来代替,但是为了防止溢出,一般会使用输入信号中的最大值。
import numpy as np
def softmax(a):
exp_a = np.exp(a)
sum_exp_a = np.sum(exp_a)
y = exp_a / sum_exp_a
return y
a = np.array([1010,1000,990])
y = softmax(a)
print(y)
上述例子的结果会出现
[nan nan nan]
nan(not a number)
但是改进后的softmax函数则会计算出其正确的值
import numpy as np
def softmax(a):
c = np.max(a)
exp_a = np.exp(a - c)
sum_exp_a = np.sum(exp_a)
y = exp_a / sum_exp_a
return y
a = np.array([1010,1000,990])
y = softmax(a)
print(y)
结果为:
[9.99954600e-01 4.53978686e-05 2.06106005e-09]
softmax函数的特征:
1、softmax输出的值是0.0到1.0之间的实数。并且,softmax函数的输出值的和是1。输出综合是1是softmax函数的一个重要性质。正因为这个性质,我们才可以把softmax函数的输出解释为“概率”。
浙公网安备 33010602011771号