二维数组
概念
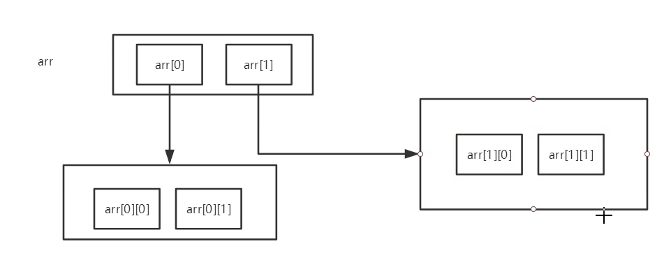
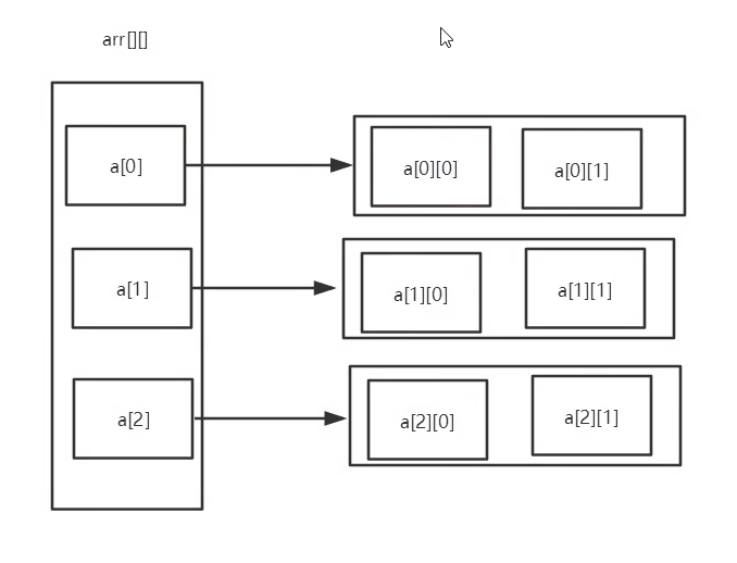
多维数组可以看成是数组的数组,比如二维数组就是一个特殊的一维数组,其每个元素都是一个一维数组。

二维数组
int a[][] = new int[2][5];
解析:以上二维数组a可以看成一个两行五列的数组。

代码
//Java-零基础学习/src/array/Demo04
package array;
public class Demo04 {
public static void main(String[] args) {
//[4][2]
/*
1,2 array[0]
2,3 array[1]
3,4 array[2]
4,5 array[3]
*/
int[][] array = {{1, 2}, {2, 3}, {3, 4}, {4, 5}};
printArray(array[0]);
System.out.println(array[0][0]);
System.out.println(array[0][1]);
for (int i = 0; i < array.length; i++) {
for (int j = 0; j < array[i].length; j++) {
System.out.println(array[i][j]);
}
}
}
//打印数组元素
public static void printArray(int[] arrays) {
for (int i = 0; i < arrays.length; i++) {
System.out.println(arrays[i] + " ");
}
}
}

浙公网安备 33010602011771号