C语言程序设计实验报告(二)
C程序设计实验报告
实验项目:2-3-3字符与ASCII码;2-3-4运算符与表达式的应用;2-3-5顺序结构应用程序;3-3-1数学函数的算法描述;3-3-2鸡兔同笼的算法描述;3-3-3确定坐标的算法描述
姓名:彭佳乐
实验地点:家
实验时间:2020.3.12
一、实验目的与要求
1、掌握自增++,自增--运算符的正确使用。
2、掌握基本的输入/输出函数的基本功能、调用方法、输入/输出格式控制规定等。
3、掌握结构化程序的算法描述方法。
4、熟练掌握C语言的运算符,即运算符的优先级和结核性、运算规则、运算对象类型等。
二、实验内容
1、实验练习:2-3-3字符与ASCII码
(1)问题的简单描述:输出不了最终的答案
(2)实验代码:#include<stdio.h>
int main()
{
char i;
printf("请输入一个大写字母:\n");
scanf("%c",&i);
i=i+32;
for(int n=0;n<4;n++){
i=i+n;
printf("%c",i);
printf("%d",i);
printf("\n");
}
return 0;
}
(3)问题分析:(地址符时常忘记,熟悉问题分析注意报错。)
2、实验练习:2-3-4运算符与表达式的应用
(1)问题的简单描述:起初找不到简易方法编译运行代码
(2)实验代码:#include<stdio.h>
int main()
{
int a;
scanf("%d",&a);
printf("%d%d%d",a%10,(a/10)%10,(a/100)%10);
return 0;
}
(3)问题分析:(熟悉运算符,并进行合理运用和简化,此外还要更熟悉Dev-c++)
3、实验练习:2-3-5顺序结构应用程序
(1)简单的问题描述:中英文切换频繁,容易出错导致编译运行不了
(2)实验代码:#include<stdio.h>
int main()
{
float q,w,e,r,d,g;
printf("请输入西药费,检查费,材料费,床位费,观察费,护理费:\n");
scanf("%f,%f,%f,%f,%f,%f",&q,&w,&e,&r,&d,&g);
float sum;
sum=q+w+e+r+d+g;
printf("应付款(元):%.2f病人付款(元):",sum);
int pay;
scanf("%d",&pay);
printf("计算结果:\n病人付款=%d元\n应收款=%.2f元,应找回%.2f元",pay,sum,pay-sum);
return 0;
}
(3)问题分析:在输入完中文之后可尝试熟悉用Ctrl+空格键进行切换
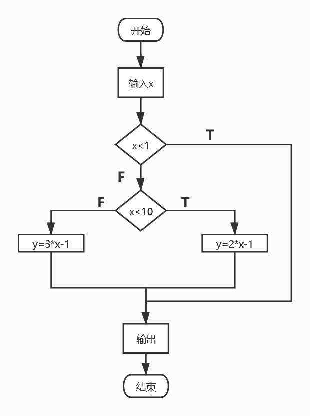
4、实验练习3-3-1数学函数的算法描述
(1)简单的问题描述:对if else函数不熟悉,容易出错常会漏掉else,导致编译失败
(2)实验代码:#include<stdio.h>
int main()
{
float x;
float y;
printf("请输入x的值:");
scanf("%f",&x);
if(x<1){
y=x;
}else if(x<10){
y=2x-1;
}else{
y=3x-1;
}
printf("y的值为%2f",y);
return 0;
}

(3)问题分析:熟悉if else之间的联系,多用计算机操作熟能生巧
5、实验练习:3-3-2鸡兔同笼的算法描述
(1)简单的问题分析:实验问题中有提示,主要明白简单的基础算法
(2)实验代码:#include<stdio.h>
int main()
{
int h,f,x,y;
printf("鸡兔总数,鸡兔脚总数:");
scanf("%d,%d",&h,&f);
if(x>0&&y>0){
x=(4h-f)/2;
y=(f-2h)/2;
printf("鸡有%d兔有%d\n",x,y);
}else{
printf("输入错误!\n");
}
return 0;
}

(3)问题分析:注意整数型的应用
6、实验练习:3-3-3确定坐标的算法描述
(1)简单的问题分析:没有注意关系运算符的应用,if else也运用不熟悉
(2)实验代码:#include<stdio.h>
int main()
{
float x,y;
scanf("%f,%f",&x,&y);
if(x<0)
x=-x;
if(y<0)
y=-y;
if(x>=1&&x<=3)
{
if(y>=1&&y<=3)
printf("10");
}
else{
printf("0");
}
return 0;
}
(3)问题分析:可以多操作几遍,弄明白或且非的存在意义及条件。
三、实验小结(在本次实验中收获与不足)
初次使用博客园编写实验报告对我来说也是十分新奇的,对于此次的实验,虽然经历了许多次失败,但我相信精诚所至金石为开,这次实验对于if else函数有了更好的理解,对于三目运算符的运用也有更好熟悉,学习C语言虽然有点困难和烦躁,但静下心编写代码,当运行成功时也体会到了成功的喜悦,或许这就是C语言的魅力所在吧!

浙公网安备 33010602011771号