m10
1、抽取式mrc模型
【Tracing Origins: Coreference-aware Machine Reading Comprehension的三个模型】
【pku博士论文】

整体由 2个模块组成,左边模块用于确定答案的大致位置:
通过bert得到上下文每个单词的开始向量(红色)和结束向量(蓝色),通过bert的cls得到问题向量1(红色)和问题向量2(蓝色),对于开始:计算问题向量1和上下文的每个词的内积,最大的那个词就是预测答案的开始词,结尾操作类似,这样就得到了预测答案。
损失没有采用交叉熵,作者做了更改,损失=开始的损失+结尾的损失,只讲开始的损失,结尾类似
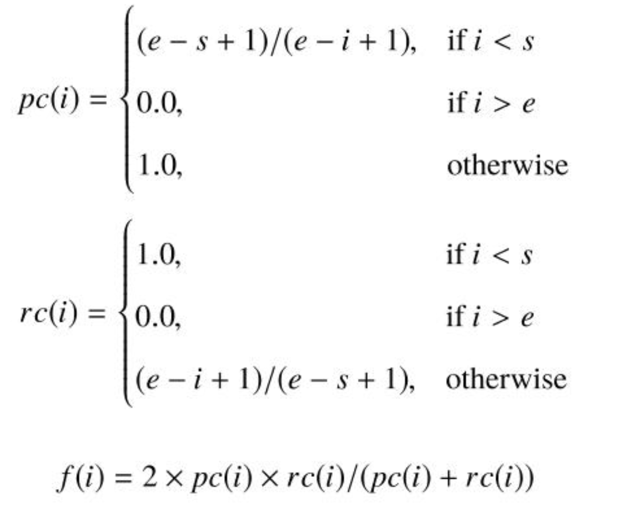
设文档为{w1,w2,w3,....wn},真实答案的开始是w2,传统的真实分布是{0,1,0,0,..0},作者认为应该做个软化,越靠近w2的值越大,定义了一个评分函数计算文档每个单词的得分,然后通过softmax之后得到真实分布p1,然后和预测的开始位置的分布p'计算KL散度作为答案开始的损失,仿照F值的定义,具体定义如下:

此处,真实答案的开始位置是 s,结束位置是 e,第 i 的单词的评分 f(i) 意义是以第 i 个词为开头,真实答案的结尾e的新答案与真实答案的重合度,显然当i =真实答案的开头位置s,则评分最高,为1,当 i 在其他位置,则评分相对较低,pc计算新答案与真实答案的准确率,rc计算召回率,f 是调和平均值
右边是答案重排模块,在训练阶段(训练该模块的意义是能够通过问题知道答案大概张什么样子),根据真实答案在哪,采用 前前后后\子集 的位置生成一堆的候选答案,候选答案向量aij表示为{起始单词的开始向量 || 终点单词的结尾向量 },然后用问题向量q计算每个候选答案aij的得分sij:

再通过一层softmax得到候选答案的分布概率,然后看真实答案在哪,就计算交叉熵(-log ),总损失就是两个模块的损失
答案重排模块的训练阶段:得到第一个模块的预测答案后,采用 前前后后\子集 的位置生成一堆的候选答案,计算得分最高的候选答案为最终的答案

浙公网安备 33010602011771号