会员
众包
新闻
博问
闪存
赞助商
HarmonyOS
Chat2DB
所有博客
当前博客
我的博客
我的园子
账号设置
会员中心
简洁模式
...
退出登录
注册
登录
海边儿写代码的孩子
博客园
首页
新随笔
联系
订阅
管理
常见函数的级数展开及推导
来源:
常见函数的级数展开及推导_zorchp-CSDN博客_常见级数展开
写在前面
最近做极限的题目,很多都要用到泰勒展开(麦克劳林展开),然而一些结论总是记不住,于是在这里总结一些常见的函数的展开式及推导过程,希望可以帮到大家。
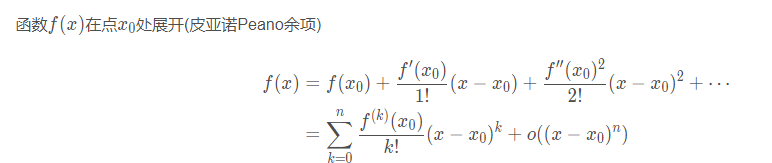
定义式
posted @
2021-12-01 18:39
海边儿写代码的孩子
阅读(
687
) 评论(
0
)
收藏
举报
刷新页面
返回顶部
公告